Home /  SummerSchool /  Schedules /  Patterns in Chemistry

Patterns in Chemistry

Summer Graduate Workshop in Nonlinear dynamics of low-dimensional continua June 21, 1999 - July 02, 1999

June 21, 1999 (08:00 AM PDT - 05:00 PM PDT)
Speaker(s): L. Mahadevan
Video

212-25657-Patterns in Chemistry-L. Mahadevan

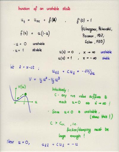
Abstract No Abstract Uploaded
Supplements
82265?type=thumb 01.jpg 26.7 KB image/jpeg Download
82266?type=thumb 02.jpg 25.1 KB image/jpeg Download
82267?type=thumb 03.jpg 28.3 KB image/jpeg Download
82268?type=thumb 04.jpg 25.1 KB image/jpeg Download
82269?type=thumb 05.jpg 31.3 KB image/jpeg Download
82270?type=thumb 06.jpg 21.5 KB image/jpeg Download
82271?type=thumb 07.jpg 31.8 KB image/jpeg Download
82272?type=thumb 08.jpg 28.1 KB image/jpeg Download
82273?type=thumb 09.jpg 26.8 KB image/jpeg Download
82274?type=thumb 10.jpg 31.7 KB image/jpeg Download
82275?type=thumb 11.jpg 13.4 KB image/jpeg Download
Video/Audio Files

212-25657-Patterns in Chemistry-L. Mahadevan

H.264 Video 212-25657-Patterns_in_Chemistry-L._Mahadevan.mp4 65.3 MB video/mp4 Download
212-25657-Patterns_in_Chemistry-L._Mahadevan.rm 24.3 MB application/vnd.rn-realmedia Download
Troubles with video?

Please report video problems to itsupport@slmath.org.

See more of our Streaming videos on our main VMath Videos page.