Home /  Workshop /  Schedules /  Global uniqueness in the inverse scattering problem for the Schrödinger with external Yang-Mills potentials

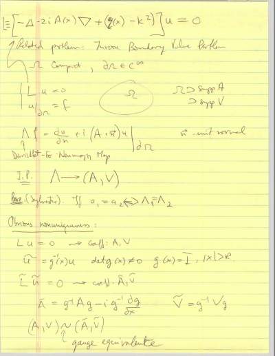
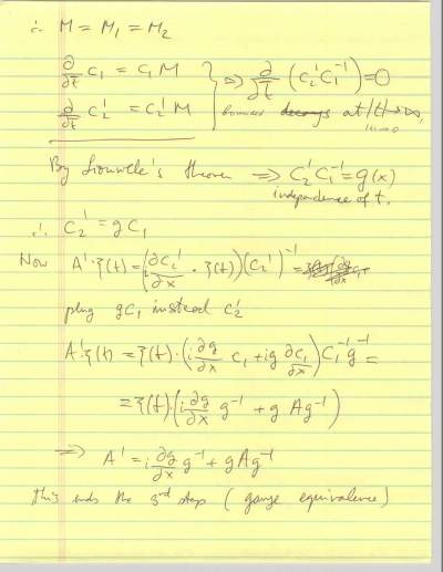
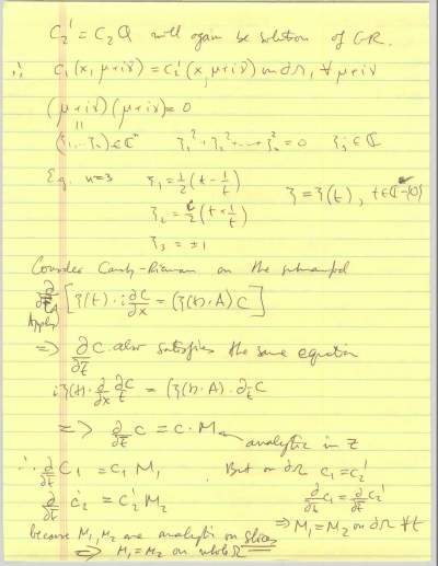
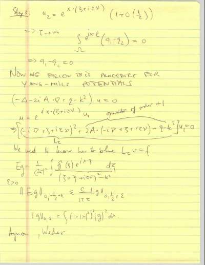
Global uniqueness in the inverse scattering problem for the Schrödinger with external Yang-Mills potentials

Inverse problems and Applications November 05, 2001 - November 16, 2001

November 09, 2001 (02:00 PM PST - 03:00 PM PST)
Speaker(s): Gregory Eskin
Location: SLMath: Eisenbud Auditorium
Primary Mathematics Subject Classification No Primary AMS MSC
Secondary Mathematics Subject Classification No Secondary AMS MSC
Video

100-544-Global uniqueness in the inverse scattering problem for the Schrodinger operator with external Yang-Mills potentials-Gregory Eskin

Abstract No Abstract Uploaded
Supplements
63736?type=thumb 01.jpg 24.1 KB image/jpeg Download
63737?type=thumb 02.jpg 21.3 KB image/jpeg Download
63738?type=thumb 03.jpg 23.5 KB image/jpeg Download
63739?type=thumb 04.jpg 21 KB image/jpeg Download
63740?type=thumb 05.jpg 24.8 KB image/jpeg Download
63741?type=thumb 06.jpg 23.3 KB image/jpeg Download
63742?type=thumb 07.jpg 22.6 KB image/jpeg Download
63743?type=thumb 08.jpg 23.7 KB image/jpeg Download
63744?type=thumb 09.jpg 22.6 KB image/jpeg Download
Video/Audio Files

100-544-Global uniqueness in the inverse scattering problem for the Schrodinger operator with external Yang-Mills potentials-Gregory Eskin

H.264 Video 100-544-Global_uniqueness_in_the_inverse_scattering_problem_for_the_Schrodinger_operator_with_external_Yang-Mills_potentials-Gregory_Eskin.mp4 56.3 MB video/mp4 Download
100-544-Global_uniqueness_in_the_inverse_scattering_problem_for_the_Schrodinger_operator_with_external_Yang-Mills_potentials-Gregory_Eskin.rm 18.4 MB application/vnd.rn-realmedia Download
Troubles with video?

Please report video problems to itsupport@slmath.org.

See more of our Streaming videos on our main VMath Videos page.