Home /  Workshop /  Schedules /  Linear combinations of L-functions and Zeros on the Critical Line

Linear combinations of L-functions and Zeros on the Critical Line

Quantum Chaos, GUE Conjecture for Zeros of Zeta Functions, Combinatorics, and All That June 07, 1999 - June 11, 1999

June 07, 1999 (08:00 AM PDT - 05:00 PM PDT)
Speaker(s): Atle Selberg
Primary Mathematics Subject Classification No Primary AMS MSC
Secondary Mathematics Subject Classification No Secondary AMS MSC
Video
No Video Uploaded
Abstract No Abstract Uploaded
Supplements
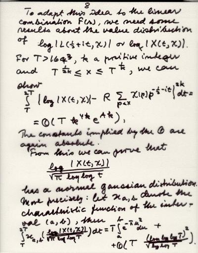
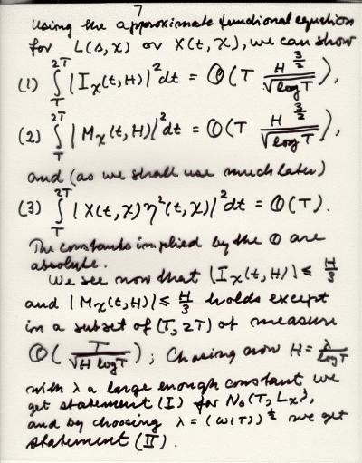
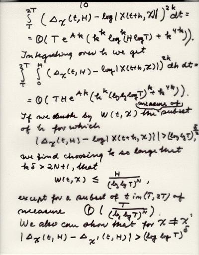
81817?type=thumb 01.jpg 38.4 KB image/jpeg Download
81818?type=thumb 02.jpg 51.2 KB image/jpeg Download
81819?type=thumb 03.jpg 41.9 KB image/jpeg Download
81820?type=thumb 04.jpg 47.6 KB image/jpeg Download
81821?type=thumb 05.jpg 43.7 KB image/jpeg Download
81822?type=thumb 06.jpg 36.8 KB image/jpeg Download
81823?type=thumb 07.jpg 43.7 KB image/jpeg Download
81824?type=thumb 08.jpg 43 KB image/jpeg Download
81825?type=thumb 09.jpg 44 KB image/jpeg Download
81826?type=thumb 10.jpg 38.5 KB image/jpeg Download
81827?type=thumb 11.jpg 42.5 KB image/jpeg Download
81828?type=thumb 12.jpg 36.4 KB image/jpeg Download
81829?type=thumb 13.jpg 41.9 KB image/jpeg Download
81830?type=thumb 14.jpg 40.4 KB image/jpeg Download
81831?type=thumb 15.jpg 36.6 KB image/jpeg Download
81832?type=thumb 16.jpg 35.3 KB image/jpeg Download
81833?type=thumb 17.jpg 37.5 KB image/jpeg Download
81834?type=thumb 18.jpg 24.8 KB image/jpeg Download
Video/Audio Files
No Video Files Uploaded