Home /  Workshop /  Schedules /  Perturbation theory for infinite dimensional integrable systems on the line

Perturbation theory for infinite dimensional integrable systems on the line

Geometric Aspects of Spectral Theory March 12, 2001 - March 16, 2001

March 12, 2001 (02:40 PM PST - 04:00 PM PST)
Speaker(s): Percy Deift (New York University, Courant Institute)
Location: SLMath: Eisenbud Auditorium
Primary Mathematics Subject Classification No Primary AMS MSC
Secondary Mathematics Subject Classification No Secondary AMS MSC
Video

11-246-Perturbation theory for infinite dimensional integrable systems on the line-Percy Deift

Abstract No Abstract Uploaded
Supplements
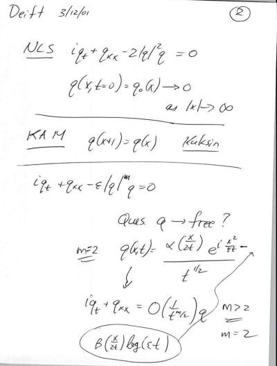
65752?type=thumb 01.jpg 17.7 KB image/jpeg Download
65753?type=thumb 02.jpg 19.1 KB image/jpeg Download
65754?type=thumb 03.jpg 22 KB image/jpeg Download
65755?type=thumb 04.jpg 18 KB image/jpeg Download
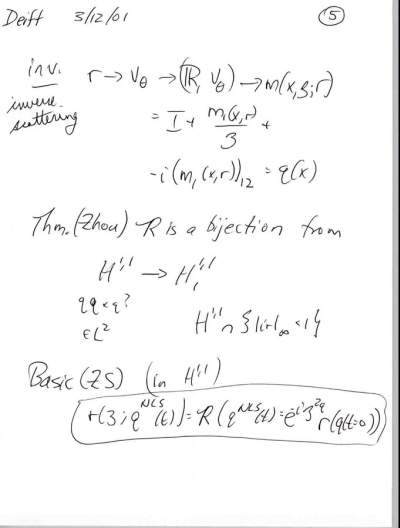
65756?type=thumb 05.jpg 18.2 KB image/jpeg Download
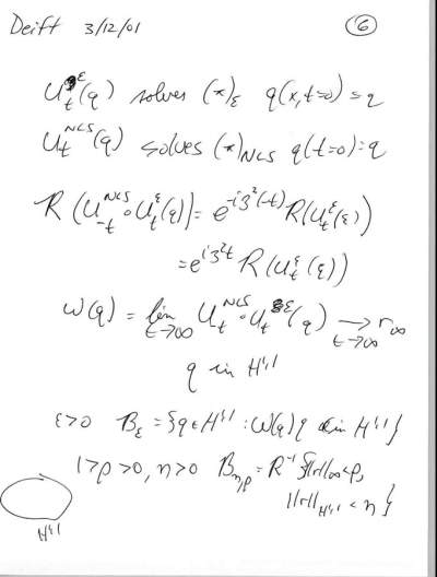
65757?type=thumb 06.jpg 20 KB image/jpeg Download
65758?type=thumb 07.jpg 21.8 KB image/jpeg Download
65759?type=thumb 08.jpg 19 KB image/jpeg Download
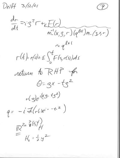
65760?type=thumb 09.jpg 15.1 KB image/jpeg Download
65761?type=thumb 10.jpg 12.7 KB image/jpeg Download
Video/Audio Files

11-246-Perturbation theory for infinite dimensional integrable systems on the line-Percy Deift

H.264 Video 11-246-Perturbation_theory_for_infinite_dimensional_integrable_systems_on_the_line-Percy_Deift.mp4 51.6 MB video/mp4 Download
11-246-Perturbation_theory_for_infinite_dimensional_integrable_systems_on_the_line-Percy_Deift.rm 15.3 MB application/vnd.rn-realmedia Download
Troubles with video?

Please report video problems to itsupport@slmath.org.

See more of our Streaming videos on our main VMath Videos page.