Home /  Workshop /  Schedules /  Model selection for CART regression trees

Model selection for CART regression trees

Nonlinear Estimation and Classification March 19, 2001 - March 29, 2001

March 23, 2001 (02:30 PM PST - 03:15 PM PST)
Speaker(s): Servane Gey
Location: SLMath: Eisenbud Auditorium
Primary Mathematics Subject Classification No Primary AMS MSC
Secondary Mathematics Subject Classification No Secondary AMS MSC
Video

12-298-Model selection for CART regression trees-Servane Gey & Elodie Nedelec

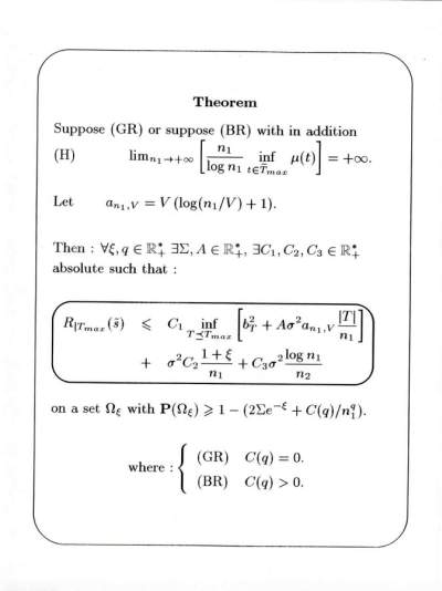
Abstract No Abstract Uploaded
Supplements
66632?type=thumb 01.jpg 16.4 KB image/jpeg Download
66633?type=thumb 02.jpg 20.2 KB image/jpeg Download
66634?type=thumb 03.jpg 10.2 KB image/jpeg Download
66635?type=thumb 04.jpg 15.3 KB image/jpeg Download
66636?type=thumb 05.jpg 13.3 KB image/jpeg Download
66637?type=thumb 06.jpg 12.6 KB image/jpeg Download
66638?type=thumb 07.jpg 17.5 KB image/jpeg Download
66639?type=thumb 08.jpg 22 KB image/jpeg Download
66640?type=thumb 09.jpg 14 KB image/jpeg Download
66641?type=thumb 10.jpg 19.2 KB image/jpeg Download
66642?type=thumb 11.jpg 18.4 KB image/jpeg Download
66643?type=thumb 12.jpg 9.63 KB image/jpeg Download
66644?type=thumb 13.jpg 20 KB image/jpeg Download
66645?type=thumb 14.jpg 20.1 KB image/jpeg Download
66646?type=thumb 15.jpg 17.2 KB image/jpeg Download
66647?type=thumb 16.jpg 12.1 KB image/jpeg Download
66648?type=thumb 17.jpg 24.7 KB image/jpeg Download
Video/Audio Files

12-298-Model selection for CART regression trees-Servane Gey & Elodie Nedelec

H.264 Video 12-298-Model_selection_for_CART_regression_trees-Servane_Gey___Elodie_Nedelec.mp4 16.8 MB video/mp4 Download
12-298-Model_selection_for_CART_regression_trees-Servane_Gey___Elodie_Nedelec.rm 6.48 MB application/vnd.rn-realmedia Download
Troubles with video?

Please report video problems to itsupport@slmath.org.

See more of our Streaming videos on our main VMath Videos page.