Home /  Workshop /  Schedules /  "Fundamental groups and geometry in positive characteristic"

"Fundamental groups and geometry in positive characteristic"

Galois Actions and Geometry October 11, 1999 - October 15, 1999

October 11, 1999 (08:00 AM PDT - 05:00 PM PDT)
Speaker(s): A. Tamagawa
Primary Mathematics Subject Classification No Primary AMS MSC
Secondary Mathematics Subject Classification No Secondary AMS MSC
Video

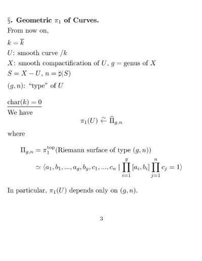
132-25432- Fundamental groups and geometry in positive characteristic -A. Tamagawa

Abstract No Abstract Uploaded
Supplements
78528?type=thumb 01.jpg 9.49 KB image/jpeg Download
78529?type=thumb 02.jpg 20.1 KB image/jpeg Download
78530?type=thumb 03.jpg 18.6 KB image/jpeg Download
78531?type=thumb 04.jpg 15.3 KB image/jpeg Download
78532?type=thumb 05.jpg 19.1 KB image/jpeg Download
78533?type=thumb 06.jpg 18.7 KB image/jpeg Download
78534?type=thumb 07.jpg 22.4 KB image/jpeg Download
78535?type=thumb 08.jpg 29.4 KB image/jpeg Download
78536?type=thumb 09.jpg 23.9 KB image/jpeg Download
78537?type=thumb 10.jpg 23.3 KB image/jpeg Download
78538?type=thumb 11.jpg 16.9 KB image/jpeg Download
78539?type=thumb 12.jpg 18.8 KB image/jpeg Download
78540?type=thumb 13.jpg 18.2 KB image/jpeg Download
78541?type=thumb 14.jpg 22.4 KB image/jpeg Download
78542?type=thumb 15.jpg 20.5 KB image/jpeg Download
78543?type=thumb 16.jpg 8.37 KB image/jpeg Download
Video/Audio Files

132-25432- Fundamental groups and geometry in positive characteristic -A. Tamagawa

H.264 Video 132-25432-_Fundamental_groups_and_geometry_in_positive_characteristic_-A._Tamagawa.mp4 50.3 MB video/mp4 Download
132-25432-_Fundamental_groups_and_geometry_in_positive_characteristic_-A._Tamagawa.rm 19.5 MB application/vnd.rn-realmedia Download
Troubles with video?

Please report video problems to itsupport@slmath.org.

See more of our Streaming videos on our main VMath Videos page.