Home /  Workshop /  Schedules /  The Theory of Operator Algebras, VIII

The Theory of Operator Algebras, VIII

Clay Mathematics Institute Introductory Workshop in Operator Algebras August 24, 2000 - September 02, 2000

August 28, 2000 (04:45 PM PDT - 05:45 PM PDT)
Speaker(s): Richard Kadison
Location: SLMath: Eisenbud Auditorium
Primary Mathematics Subject Classification No Primary AMS MSC
Secondary Mathematics Subject Classification No Secondary AMS MSC
Video

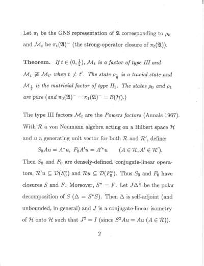
2-19-The Theory of Operator Algebras - A Survey 8-Richard Kadison

Abstract No Abstract Uploaded
Supplements
71686?type=thumb 01.jpg 24.1 KB image/jpeg Download
71687?type=thumb 02.jpg 22.7 KB image/jpeg Download
71688?type=thumb 03.jpg 23.6 KB image/jpeg Download
71689?type=thumb 04.jpg 21.3 KB image/jpeg Download
71690?type=thumb 05.jpg 8.47 KB image/jpeg Download
71691?type=thumb 06.jpg 21.4 KB image/jpeg Download
71692?type=thumb 07.jpg 24.3 KB image/jpeg Download
Video/Audio Files

2-19-The Theory of Operator Algebras - A Survey 8-Richard Kadison

H.264 Video 2-19-The_Theory_of_Operator_Algebras_-_A_Survey_8-Richard_Kadison.mp4 59.2 MB video/mp4 Download
2-19-The_Theory_of_Operator_Algebras_-_A_Survey_8-Richard_Kadison.rm 22.9 MB application/vnd.rn-realmedia Download
Troubles with video?

Please report video problems to itsupport@slmath.org.

See more of our Streaming videos on our main VMath Videos page.