Home /  Workshop /  Schedules /  The Theory of Operator Algebras, IX

The Theory of Operator Algebras, IX

Clay Mathematics Institute Introductory Workshop in Operator Algebras August 24, 2000 - September 02, 2000

August 29, 2000 (09:15 AM PDT - 10:30 AM PDT)
Speaker(s): Richard Kadison
Location: SLMath: Eisenbud Auditorium
Primary Mathematics Subject Classification No Primary AMS MSC
Secondary Mathematics Subject Classification No Secondary AMS MSC
Video

2-20-The Theory of Operator Algebras - A Survey 9-Richard Kadison

Abstract No Abstract Uploaded
Supplements
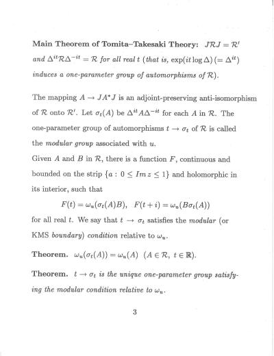
71693?type=thumb 01.jpg 25.1 KB image/jpeg Download
71694?type=thumb 02.jpg 28.6 KB image/jpeg Download
71695?type=thumb 03.jpg 26.3 KB image/jpeg Download
71696?type=thumb 04.jpg 27.6 KB image/jpeg Download
71697?type=thumb 05.jpg 23.8 KB image/jpeg Download
71698?type=thumb 06.jpg 19.4 KB image/jpeg Download
71699?type=thumb 07.jpg 29.1 KB image/jpeg Download
71700?type=thumb 08.jpg 24.1 KB image/jpeg Download
Video/Audio Files

2-20-The Theory of Operator Algebras - A Survey 9-Richard Kadison

H.264 Video 2-20-The_Theory_of_Operator_Algebras_-_A_Survey_9-Richard_Kadison.mp4 50.2 MB video/mp4 Download
2-20-The_Theory_of_Operator_Algebras_-_A_Survey_9-Richard_Kadison.rm 19.5 MB application/vnd.rn-realmedia Download
Troubles with video?

Please report video problems to itsupport@slmath.org.

See more of our Streaming videos on our main VMath Videos page.