Home /  Workshop /  Schedules /  Groupoids: examples and remarks

Groupoids: examples and remarks

Quantization and Non-commutative geometry April 23, 2001 - April 27, 2001

April 26, 2001 (11:40 AM PDT - 02:00 PM PDT)
Speaker(s): Georges Skandalis (Université de Paris VII (Denis Diderot))
Location: SLMath: Eisenbud Auditorium
Primary Mathematics Subject Classification No Primary AMS MSC
Secondary Mathematics Subject Classification No Secondary AMS MSC
Video

93-466-Groupoids: examples and remarks-George Skandalis

Abstract No Abstract Uploaded
Supplements
68043?type=thumb 01.jpg 9.48 KB image/jpeg Download
68044?type=thumb 02.jpg 19.8 KB image/jpeg Download
68045?type=thumb 03.jpg 9.77 KB image/jpeg Download
68046?type=thumb 04.jpg 13.5 KB image/jpeg Download
68047?type=thumb 05.jpg 17.1 KB image/jpeg Download
68048?type=thumb 06.jpg 21 KB image/jpeg Download
68049?type=thumb 07.jpg 14.7 KB image/jpeg Download
68050?type=thumb 08.jpg 21 KB image/jpeg Download
68051?type=thumb 09.jpg 22.7 KB image/jpeg Download
68052?type=thumb 10.jpg 11.8 KB image/jpeg Download
68053?type=thumb 11.jpg 16.3 KB image/jpeg Download
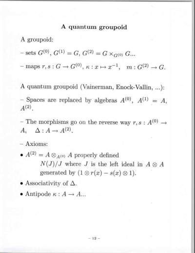
68054?type=thumb 12.jpg 17.5 KB image/jpeg Download
68055?type=thumb 13.jpg 16.1 KB image/jpeg Download
68056?type=thumb 14.jpg 20.1 KB image/jpeg Download
68057?type=thumb 15.jpg 15.5 KB image/jpeg Download
68058?type=thumb 16.jpg 19.5 KB image/jpeg Download
Video/Audio Files

93-466-Groupoids: examples and remarks-George Skandalis

H.264 Video 93-466-Groupoids__examples_and_remarks-George_Skandalis.mp4 38.3 MB video/mp4 Download
93-466-Groupoids__examples_and_remarks-George_Skandalis.rm 14.9 MB application/vnd.rn-realmedia Download
Troubles with video?

Please report video problems to itsupport@slmath.org.

See more of our Streaming videos on our main VMath Videos page.