Home /  Workshop /  Schedules /  Definable Real Forcings

Definable Real Forcings

The Continuum Hypothesis May 29, 2001 - June 01, 2001

May 29, 2001 (08:00 AM PDT - 05:00 PM PDT)
Speaker(s): Jindrich Zapletal
Primary Mathematics Subject Classification No Primary AMS MSC
Secondary Mathematics Subject Classification No Secondary AMS MSC
Video

94-25174-Definable Real Forcings-Jindrich Zapletal

Abstract No Abstract Uploaded
Supplements
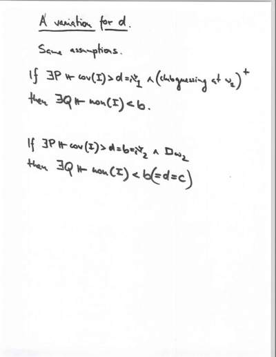
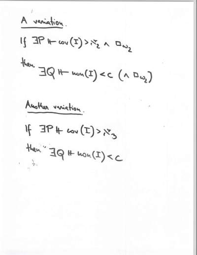
68823?type=thumb 01.jpg 8.42 KB image/jpeg Download
68824?type=thumb 02.jpg 14.9 KB image/jpeg Download
68825?type=thumb 03.jpg 19.3 KB image/jpeg Download
68826?type=thumb 04.jpg 10.6 KB image/jpeg Download
68827?type=thumb 05.jpg 14.7 KB image/jpeg Download
68828?type=thumb 06.jpg 14.4 KB image/jpeg Download
68829?type=thumb 07.jpg 11 KB image/jpeg Download
68830?type=thumb 08.jpg 12.6 KB image/jpeg Download
68831?type=thumb 09.jpg 12 KB image/jpeg Download
68832?type=thumb 10.jpg 12.3 KB image/jpeg Download
Video/Audio Files

94-25174-Definable Real Forcings-Jindrich Zapletal

H.264 Video 94-25174-Definable_Real_Forcings-Jindrich_Zapletal.mp4 48.2 MB video/mp4 Download
94-25174-Definable_Real_Forcings-Jindrich_Zapletal.rm 16.5 MB application/vnd.rn-realmedia Download
Troubles with video?

Please report video problems to itsupport@slmath.org.

See more of our Streaming videos on our main VMath Videos page.