Home /  Workshop /  Schedules /  On the distribution of the total energy of a system of non-interacting fermions

On the distribution of the total energy of a system of non-interacting fermions

Quantum Chaos, GUE Conjecture for Zeros of Zeta Functions, Combinatorics, and All That June 07, 1999 - June 11, 1999

June 07, 1999 (08:00 AM PDT - 05:00 PM PDT)
Speaker(s): Oriel Bohigas
Primary Mathematics Subject Classification No Primary AMS MSC
Secondary Mathematics Subject Classification No Secondary AMS MSC
Video

101-25610-On the distribution of the total energy of a system of non-interacting fermions-Oriel Bohigas

Abstract No Abstract Uploaded
Supplements
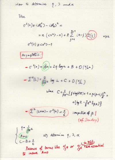
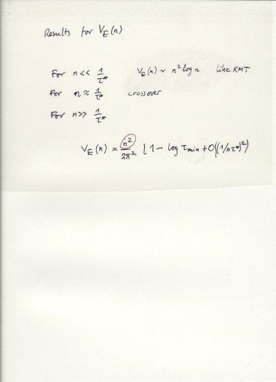
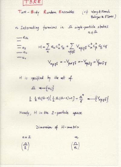
81438?type=thumb 01.jpg 15.8 KB image/jpeg Download
81439?type=thumb 02.jpg 20.1 KB image/jpeg Download
81440?type=thumb 03.jpg 20.8 KB image/jpeg Download
81441?type=thumb 04.jpg 26.4 KB image/jpeg Download
81442?type=thumb 05.jpg 21.4 KB image/jpeg Download
81443?type=thumb 06.jpg 15.7 KB image/jpeg Download
81444?type=thumb 07.jpg 20.2 KB image/jpeg Download
81445?type=thumb 08.jpg 22.9 KB image/jpeg Download
81446?type=thumb 09.jpg 19.1 KB image/jpeg Download
81447?type=thumb 10.jpg 22.5 KB image/jpeg Download
81448?type=thumb 11.jpg 25.3 KB image/jpeg Download
81449?type=thumb 12.jpg 27 KB image/jpeg Download
81450?type=thumb 13.jpg 22.3 KB image/jpeg Download
81451?type=thumb 14.jpg 22.8 KB image/jpeg Download
81452?type=thumb 15.jpg 19.8 KB image/jpeg Download
81453?type=thumb 16.jpg 22.1 KB image/jpeg Download
81454?type=thumb 17.jpg 18.6 KB image/jpeg Download
81455?type=thumb 18.jpg 21 KB image/jpeg Download
81456?type=thumb 19.jpg 19.7 KB image/jpeg Download
81457?type=thumb 20.jpg 23.3 KB image/jpeg Download
81458?type=thumb 21.jpg 20.5 KB image/jpeg Download
81459?type=thumb 22.jpg 26.1 KB image/jpeg Download
81460?type=thumb 23.jpg 25 KB image/jpeg Download
81461?type=thumb 24.jpg 10.3 KB image/jpeg Download
81462?type=thumb 25.jpg 18.4 KB image/jpeg Download
81463?type=thumb 26.jpg 18.9 KB image/jpeg Download
81464?type=thumb 27.jpg 21 KB image/jpeg Download
81465?type=thumb 28.jpg 22.7 KB image/jpeg Download
81466?type=thumb 29.jpg 19.9 KB image/jpeg Download
81467?type=thumb 30.jpg 24.6 KB image/jpeg Download
81468?type=thumb 31.jpg 16 KB image/jpeg Download
81469?type=thumb 32.jpg 18.9 KB image/jpeg Download
81470?type=thumb 33.jpg 14.2 KB image/jpeg Download
81471?type=thumb 34.jpg 16.8 KB image/jpeg Download
81472?type=thumb 35.jpg 27.8 KB image/jpeg Download
81473?type=thumb 36.jpg 25.8 KB image/jpeg Download
81474?type=thumb 37.jpg 20.6 KB image/jpeg Download
81475?type=thumb 38.jpg 19.9 KB image/jpeg Download
81476?type=thumb 39.jpg 13.6 KB image/jpeg Download
81477?type=thumb 40.jpg 23.5 KB image/jpeg Download
81478?type=thumb 41.jpg 13 KB image/jpeg Download
81479?type=thumb 42.jpg 20.1 KB image/jpeg Download
81480?type=thumb 43.jpg 22.5 KB image/jpeg Download
81481?type=thumb 44.jpg 31.1 KB image/jpeg Download
81482?type=thumb 45.jpg 26.7 KB image/jpeg Download
81483?type=thumb 46.jpg 17.7 KB image/jpeg Download
81484?type=thumb 47.jpg 19 KB image/jpeg Download
81485?type=thumb 48.jpg 19.3 KB image/jpeg Download
81486?type=thumb 49.jpg 20.3 KB image/jpeg Download
Video/Audio Files

101-25610-On the distribution of the total energy of a system of non-interacting fermions-Oriel Bohigas

H.264 Video 101-25610-On_the_distribution_of_the_total_energy_of_a_system_of_non-interacting_fermions-Oriel_Bohigas.mp4 53.9 MB video/mp4 Download
101-25610-On_the_distribution_of_the_total_energy_of_a_system_of_non-interacting_fermions-Oriel_Bohigas.rm 21.4 MB application/vnd.rn-realmedia Download
Troubles with video?

Please report video problems to itsupport@slmath.org.

See more of our Streaming videos on our main VMath Videos page.