Home /  Workshop /  Schedules /  Zeros of Quadratic L-funcions close to the Real Axis

Zeros of Quadratic L-funcions close to the Real Axis

Quantum Chaos, GUE Conjecture for Zeros of Zeta Functions, Combinatorics, and All That June 07, 1999 - June 11, 1999

June 07, 1999 (08:00 AM PDT - 05:00 PM PDT)
Speaker(s): Ali Ozluk
Primary Mathematics Subject Classification No Primary AMS MSC
Secondary Mathematics Subject Classification No Secondary AMS MSC
Video

101-25629-Zeros of Quadratic L-funcions close to the Real Axis-Ali Ozluk

Abstract No Abstract Uploaded
Supplements
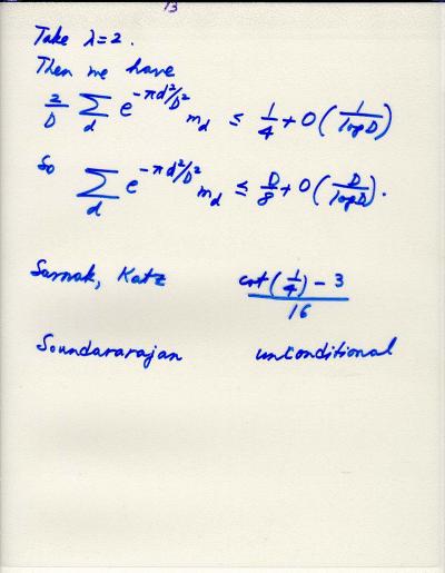
81803?type=thumb 01.jpg 15.3 KB image/jpeg Download
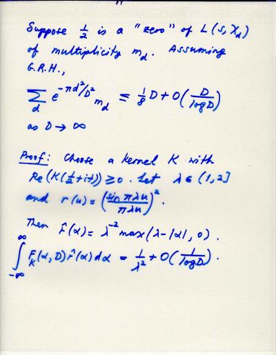
81804?type=thumb 02.jpg 35.1 KB image/jpeg Download
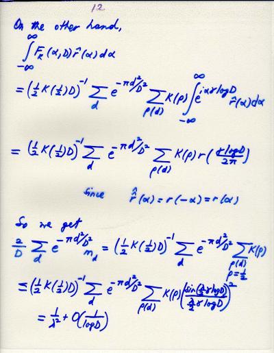
81805?type=thumb 03.jpg 30.1 KB image/jpeg Download
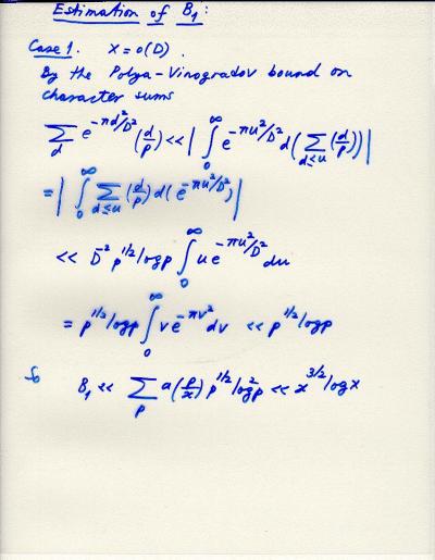
81806?type=thumb 04.jpg 38.5 KB image/jpeg Download
81807?type=thumb 05.jpg 24.5 KB image/jpeg Download
81808?type=thumb 06.jpg 28.6 KB image/jpeg Download
81809?type=thumb 07.jpg 38.2 KB image/jpeg Download
81810?type=thumb 08.jpg 33.8 KB image/jpeg Download
81811?type=thumb 09.jpg 34.8 KB image/jpeg Download
81812?type=thumb 10.jpg 44.5 KB image/jpeg Download
81813?type=thumb 11.jpg 37.4 KB image/jpeg Download
81814?type=thumb 12.jpg 30.7 KB image/jpeg Download
81815?type=thumb 13.jpg 35.4 KB image/jpeg Download
81816?type=thumb 14.jpg 23.1 KB image/jpeg Download
Video/Audio Files

101-25629-Zeros of Quadratic L-funcions close to the Real Axis-Ali Ozluk

H.264 Video 101-25629-Zeros_of_Quadratic_L-funcions_close_to_the_Real_Axis-Ali_Ozluk.mp4 19.6 MB video/mp4 Download
101-25629-Zeros_of_Quadratic_L-funcions_close_to_the_Real_Axis-Ali_Ozluk.rm 7.24 MB application/vnd.rn-realmedia Download
Troubles with video?

Please report video problems to itsupport@slmath.org.

See more of our Streaming videos on our main VMath Videos page.