Home /  Workshop /  Schedules /  Linear combinations of L-functions and Zeros off the Critical Line

Linear combinations of L-functions and Zeros off the Critical Line

Quantum Chaos, GUE Conjecture for Zeros of Zeta Functions, Combinatorics, and All That June 07, 1999 - June 11, 1999

June 07, 1999 (08:00 AM PDT - 05:00 PM PDT)
Speaker(s): Dennis Hejhal
Primary Mathematics Subject Classification No Primary AMS MSC
Secondary Mathematics Subject Classification No Secondary AMS MSC
Video

101-25631-Linear combinations of L-functions and Zeros off the Critical Line-Dennis Hejhal

Abstract No Abstract Uploaded
Supplements
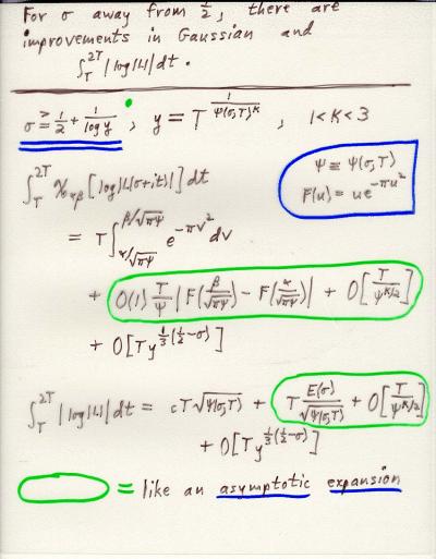
81835?type=thumb 01.jpg 15.9 KB image/jpeg Download
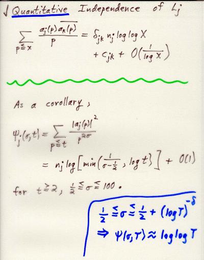
81836?type=thumb 02.jpg 30.3 KB image/jpeg Download
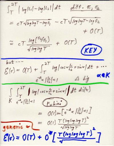
81837?type=thumb 03.jpg 27.7 KB image/jpeg Download
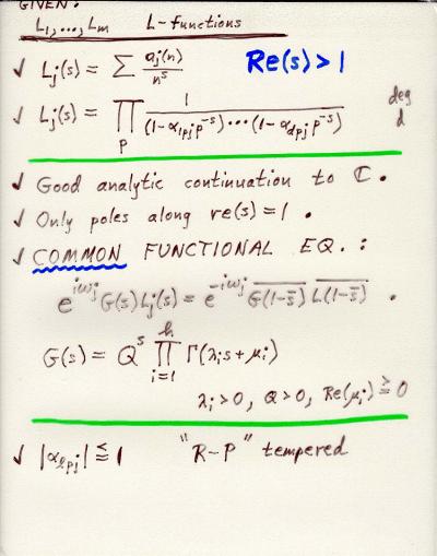
81838?type=thumb 04.jpg 28.1 KB image/jpeg Download
81839?type=thumb 05.jpg 26.5 KB image/jpeg Download
81840?type=thumb 06.jpg 16.6 KB image/jpeg Download
81841?type=thumb 07.jpg 21.2 KB image/jpeg Download
81842?type=thumb 08.jpg 31.1 KB image/jpeg Download
81843?type=thumb 09.jpg 35 KB image/jpeg Download
81844?type=thumb 10.jpg 19.7 KB image/jpeg Download
81845?type=thumb 11.jpg 26.1 KB image/jpeg Download
81846?type=thumb 12.jpg 20.9 KB image/jpeg Download
81847?type=thumb 13.jpg 27 KB image/jpeg Download
81848?type=thumb 14.jpg 23.6 KB image/jpeg Download
81849?type=thumb 15.jpg 32.3 KB image/jpeg Download
81850?type=thumb 16.jpg 18.2 KB image/jpeg Download
81851?type=thumb 17.jpg 30.5 KB image/jpeg Download
81852?type=thumb 18.jpg 20.8 KB image/jpeg Download
81853?type=thumb 19.jpg 22.8 KB image/jpeg Download
81854?type=thumb 20.jpg 28.8 KB image/jpeg Download
81855?type=thumb 21.jpg 26 KB image/jpeg Download
81856?type=thumb 22.jpg 35.6 KB image/jpeg Download
81857?type=thumb 23.jpg 26.2 KB image/jpeg Download
81858?type=thumb 24.jpg 31.8 KB image/jpeg Download
81859?type=thumb 25.jpg 15.4 KB image/jpeg Download
81860?type=thumb 26.jpg 38.2 KB image/jpeg Download
81861?type=thumb 27.jpg 13.9 KB image/jpeg Download
81862?type=thumb 28.jpg 22.6 KB image/jpeg Download
81863?type=thumb 29.jpg 29.2 KB image/jpeg Download
81864?type=thumb 30.jpg 33.2 KB image/jpeg Download
Video/Audio Files

101-25631-Linear combinations of L-functions and Zeros off the Critical Line-Dennis Hejhal

H.264 Video 101-25631-Linear_combinations_of_L-functions_and_Zeros_off_the_Critical_Line-Dennis_Hejhal.mp4 31.3 MB video/mp4 Download
101-25631-Linear_combinations_of_L-functions_and_Zeros_off_the_Critical_Line-Dennis_Hejhal.rm 11.1 MB application/vnd.rn-realmedia Download
Troubles with video?

Please report video problems to itsupport@slmath.org.

See more of our Streaming videos on our main VMath Videos page.