Home /  Workshop /  Schedules /  Complements to Li's Criterion for the Riemann Hypothesis

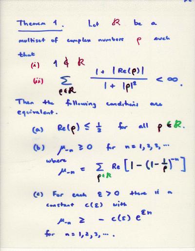
Complements to Li's Criterion for the Riemann Hypothesis

Quantum Chaos, GUE Conjecture for Zeros of Zeta Functions, Combinatorics, and All That June 07, 1999 - June 11, 1999

June 07, 1999 (08:00 AM PDT - 05:00 PM PDT)
Speaker(s): Jeff Lagarias
Primary Mathematics Subject Classification No Primary AMS MSC
Secondary Mathematics Subject Classification No Secondary AMS MSC
Video

101-25632-Complements to Li s Criterion for the Riemann Hypothesis-Jeff Lagarias

Abstract No Abstract Uploaded
Supplements
81865?type=thumb 01.jpg 17.1 KB image/jpeg Download
81866?type=thumb 02.jpg 15.8 KB image/jpeg Download
81867?type=thumb 03.jpg 30.6 KB image/jpeg Download
81868?type=thumb 04.jpg 23.2 KB image/jpeg Download
81869?type=thumb 05.jpg 24.9 KB image/jpeg Download
81870?type=thumb 06.jpg 31.2 KB image/jpeg Download
81871?type=thumb 07.jpg 31.8 KB image/jpeg Download
81872?type=thumb 08.jpg 26.7 KB image/jpeg Download
81873?type=thumb 09.jpg 27.1 KB image/jpeg Download
81874?type=thumb 10.jpg 31.9 KB image/jpeg Download
81875?type=thumb 11.jpg 28.5 KB image/jpeg Download
81876?type=thumb 12.jpg 25.6 KB image/jpeg Download
81877?type=thumb 13.jpg 20.6 KB image/jpeg Download
81878?type=thumb 14.jpg 25.6 KB image/jpeg Download
81879?type=thumb 15.jpg 24.6 KB image/jpeg Download
81880?type=thumb 16.jpg 36.3 KB image/jpeg Download
81881?type=thumb 17.jpg 30 KB image/jpeg Download
81882?type=thumb 18.jpg 28 KB image/jpeg Download
81883?type=thumb 19.jpg 21.5 KB image/jpeg Download
Video/Audio Files

101-25632-Complements to Li s Criterion for the Riemann Hypothesis-Jeff Lagarias

H.264 Video 101-25632-Complements_to_Li_s_Criterion_for_the_Riemann_Hypothesis-Jeff_Lagarias.mp4 24.6 MB video/mp4 Download
101-25632-Complements_to_Li_s_Criterion_for_the_Riemann_Hypothesis-Jeff_Lagarias.rm 8.71 MB application/vnd.rn-realmedia Download
Troubles with video?

Please report video problems to itsupport@slmath.org.

See more of our Streaming videos on our main VMath Videos page.