Home /  Workshop /  Schedules /  The kernel for Rankin-Selberg convolution

The kernel for Rankin-Selberg convolution

Special values of Rankin L-series December 10, 2001 - December 14, 2001

December 13, 2001 (10:30 AM PST - 02:00 PM PST)
Speaker(s): Shou-Wu Zhang (Princeton University)
Location: SLMath: Eisenbud Auditorium
Primary Mathematics Subject Classification No Primary AMS MSC
Secondary Mathematics Subject Classification No Secondary AMS MSC
Video

107-592-The kernel for Rankin-Selberg convolution-Shouwu Zhang

Abstract No Abstract Uploaded
Supplements
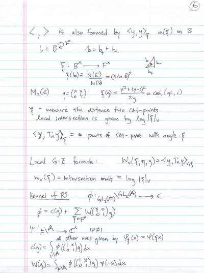
64878?type=thumb 01.jpg 26.7 KB image/jpeg Download
64879?type=thumb 02.jpg 26.2 KB image/jpeg Download
64880?type=thumb 03.jpg 24.5 KB image/jpeg Download
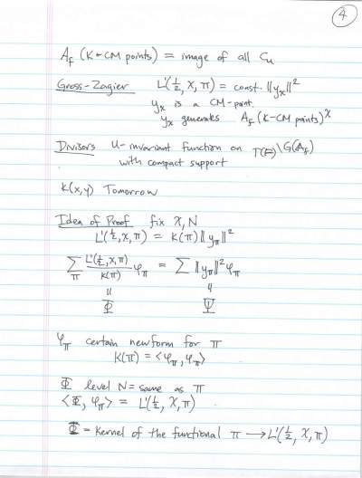
64881?type=thumb 04.jpg 22.2 KB image/jpeg Download
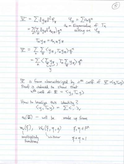
64882?type=thumb 05.jpg 22.3 KB image/jpeg Download
64883?type=thumb 06.jpg 25.3 KB image/jpeg Download
64884?type=thumb 07.jpg 20.2 KB image/jpeg Download
64885?type=thumb 08.jpg 21.8 KB image/jpeg Download
64886?type=thumb 09.jpg 16.4 KB image/jpeg Download
Video/Audio Files

107-592-The kernel for Rankin-Selberg convolution-Shouwu Zhang

H.264 Video 107-592-The_kernel_for_Rankin-Selberg_convolution-Shouwu_Zhang.mp4 73.9 MB video/mp4 Download
107-592-The_kernel_for_Rankin-Selberg_convolution-Shouwu_Zhang.rm 24.1 MB application/vnd.rn-realmedia Download
Troubles with video?

Please report video problems to itsupport@slmath.org.

See more of our Streaming videos on our main VMath Videos page.