Home /  Workshop /  Schedules /  Heegner points and Rankin L-series, 1980-1987

Heegner points and Rankin L-series, 1980-1987

Special values of Rankin L-series December 10, 2001 - December 14, 2001

December 10, 2001 (10:45 AM PST - 02:00 PM PST)
Speaker(s): Benedict Gross (Harvard University)
Location: SLMath: Eisenbud Auditorium
Primary Mathematics Subject Classification No Primary AMS MSC
Secondary Mathematics Subject Classification No Secondary AMS MSC
Video

107-581-Heegner points and Rankin L-series, 1980-1987-Benedict Gross

Abstract No Abstract Uploaded
Supplements
64739?type=thumb 01.jpg 19.3 KB image/jpeg Download
64740?type=thumb 02.jpg 14.2 KB image/jpeg Download
64741?type=thumb 03.jpg 22 KB image/jpeg Download
64742?type=thumb 04.jpg 15.5 KB image/jpeg Download
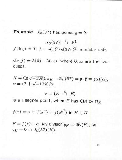
64743?type=thumb 05.jpg 17.3 KB image/jpeg Download
64744?type=thumb 06.jpg 16.4 KB image/jpeg Download
64745?type=thumb 07.jpg 12.7 KB image/jpeg Download
64746?type=thumb 08.jpg 16 KB image/jpeg Download
64747?type=thumb 09.jpg 9.42 KB image/jpeg Download
64748?type=thumb 10.jpg 20.6 KB image/jpeg Download
64749?type=thumb 11.jpg 21.6 KB image/jpeg Download
64750?type=thumb 12.jpg 22.6 KB image/jpeg Download
Video/Audio Files

107-581-Heegner points and Rankin L-series, 1980-1987-Benedict Gross

H.264 Video 107-581-Heegner_points_and_Rankin_L-series__1980-1987-Benedict_Gross.mp4 64.7 MB video/mp4 Download
107-581-Heegner_points_and_Rankin_L-series__1980-1987-Benedict_Gross.rm 19.3 MB application/vnd.rn-realmedia Download
Troubles with video?

Please report video problems to itsupport@slmath.org.

See more of our Streaming videos on our main VMath Videos page.