Home /  Workshop /  Schedules /  Equivariant zeta functions and conformal geometry

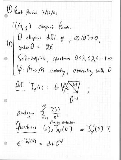
Equivariant zeta functions and conformal geometry

Geometric Aspects of Spectral Theory March 12, 2001 - March 16, 2001

March 12, 2001 (04:00 PM PST - 05:00 PM PST)
Speaker(s): Bent Ørsted
Location: SLMath: Eisenbud Auditorium
Primary Mathematics Subject Classification No Primary AMS MSC
Secondary Mathematics Subject Classification No Secondary AMS MSC
Video

11-247-Equivariant zeta functions and conformal geometry-Bent Oersted

Abstract No Abstract Uploaded
Supplements
65762?type=thumb 01.jpg 22.8 KB image/jpeg Download
65763?type=thumb 02.jpg 21.8 KB image/jpeg Download
65764?type=thumb 03.jpg 24.5 KB image/jpeg Download
65765?type=thumb 04.jpg 24.3 KB image/jpeg Download
65766?type=thumb 05.jpg 25.2 KB image/jpeg Download
65767?type=thumb 06.jpg 21.5 KB image/jpeg Download
Video/Audio Files

11-247-Equivariant zeta functions and conformal geometry-Bent Oersted

H.264 Video 11-247-Equivariant_zeta_functions_and_conformal_geometry-Bent_Oersted.mp4 50.3 MB video/mp4 Download
11-247-Equivariant_zeta_functions_and_conformal_geometry-Bent_Oersted.rm 15.4 MB application/vnd.rn-realmedia Download
Troubles with video?

Please report video problems to itsupport@slmath.org.

See more of our Streaming videos on our main VMath Videos page.