Home /  Workshop /  Schedules /  A fully non-linear equation in conformal geometry and some applications

A fully non-linear equation in conformal geometry and some applications

Geometric Aspects of Spectral Theory March 12, 2001 - March 16, 2001

March 13, 2001 (11:00 AM PST - 01:30 PM PST)
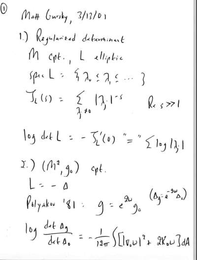
Speaker(s): Matthew Gursky (University of Notre Dame)
Location: SLMath: Eisenbud Auditorium
Primary Mathematics Subject Classification No Primary AMS MSC
Secondary Mathematics Subject Classification No Secondary AMS MSC
Video

11-249-A fully non-linear equation in conformal geometry and some applications-Matthew Gursky

Abstract No Abstract Uploaded
Supplements
65775?type=thumb 01.jpg 18 KB image/jpeg Download
65776?type=thumb 02.jpg 18.6 KB image/jpeg Download
65777?type=thumb 03.jpg 19.5 KB image/jpeg Download
65778?type=thumb 04.jpg 17.4 KB image/jpeg Download
65779?type=thumb 05.jpg 16.4 KB image/jpeg Download
65780?type=thumb 06.jpg 16.9 KB image/jpeg Download
65781?type=thumb 07.jpg 21.4 KB image/jpeg Download
65782?type=thumb 08.jpg 20.1 KB image/jpeg Download
65783?type=thumb 09.jpg 13.7 KB image/jpeg Download
65784?type=thumb 10.jpg 14.7 KB image/jpeg Download
Video/Audio Files

11-249-A fully non-linear equation in conformal geometry and some applications-Matthew Gursky

H.264 Video 11-249-A_fully_non-linear_equation_in_conformal_geometry_and_some_applications-Matthew_Gursky.mp4 53.7 MB video/mp4 Download
11-249-A_fully_non-linear_equation_in_conformal_geometry_and_some_applications-Matthew_Gursky.rm 16.6 MB application/vnd.rn-realmedia Download
Troubles with video?

Please report video problems to itsupport@slmath.org.

See more of our Streaming videos on our main VMath Videos page.