Home /  Workshop /  Schedules /  The Isoperimetric Problem - Lecture 2

The Isoperimetric Problem - Lecture 2

Clay Mathematics Institute Summer School on the Global Theory of Minimal Surfaces June 25, 2001 - July 27, 2001

June 25, 2001 (08:00 AM PDT - 05:00 PM PDT)
Speaker(s): Antonio Ros
Primary Mathematics Subject Classification No Primary AMS MSC
Secondary Mathematics Subject Classification No Secondary AMS MSC
Video

115-25213-The Isoperimetric Problem - Lecture 2-Antonio Ros

Abstract No Abstract Uploaded
Supplements
69593?type=thumb 01.jpg 13.1 KB image/jpeg Download
69594?type=thumb 02.jpg 21.8 KB image/jpeg Download
69595?type=thumb 03.jpg 22.5 KB image/jpeg Download
69596?type=thumb 04.jpg 23.9 KB image/jpeg Download
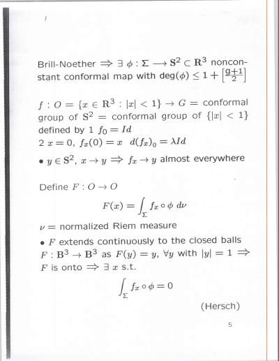
69597?type=thumb 05.jpg 23.6 KB image/jpeg Download
69598?type=thumb 06.jpg 21 KB image/jpeg Download
69599?type=thumb 07.jpg 25 KB image/jpeg Download
69600?type=thumb 08.jpg 23.3 KB image/jpeg Download
69601?type=thumb 09.jpg 21.3 KB image/jpeg Download
69602?type=thumb 10.jpg 25.8 KB image/jpeg Download
69603?type=thumb 11.jpg 22.8 KB image/jpeg Download
69604?type=thumb 12.jpg 23.8 KB image/jpeg Download
69605?type=thumb 13.jpg 20.2 KB image/jpeg Download
Video/Audio Files

115-25213-The Isoperimetric Problem - Lecture 2-Antonio Ros

H.264 Video 115-25213-The_Isoperimetric_Problem_-_Lecture_2-Antonio_Ros.mp4 51.3 MB video/mp4 Download
115-25213-The_Isoperimetric_Problem_-_Lecture_2-Antonio_Ros.rm 18.9 MB application/vnd.rn-realmedia Download
Troubles with video?

Please report video problems to itsupport@slmath.org.

See more of our Streaming videos on our main VMath Videos page.