Home /  Workshop /  Schedules /  The Isoperimetric Problem - Lecture 4

The Isoperimetric Problem - Lecture 4

Clay Mathematics Institute Summer School on the Global Theory of Minimal Surfaces June 25, 2001 - July 27, 2001

June 25, 2001 (08:00 AM PDT - 05:00 PM PDT)
Speaker(s): Antonio Ros
Primary Mathematics Subject Classification No Primary AMS MSC
Secondary Mathematics Subject Classification No Secondary AMS MSC
Video

115-25215-The Isoperimetric Problem - Lecture 4-Antonio Ros

Abstract No Abstract Uploaded
Supplements
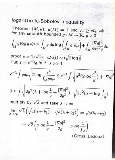
69615?type=thumb 01.jpg 14.2 KB image/jpeg Download
69616?type=thumb 02.jpg 31.2 KB image/jpeg Download
69617?type=thumb 03.jpg 20.8 KB image/jpeg Download
69618?type=thumb 04.jpg 29.4 KB image/jpeg Download
69619?type=thumb 05.jpg 21 KB image/jpeg Download
69620?type=thumb 06.jpg 17.8 KB image/jpeg Download
69621?type=thumb 07.jpg 32 KB image/jpeg Download
69622?type=thumb 08.jpg 32.4 KB image/jpeg Download
69623?type=thumb 09.jpg 26.1 KB image/jpeg Download
69624?type=thumb 10.jpg 20.1 KB image/jpeg Download
69625?type=thumb 11.jpg 29.1 KB image/jpeg Download
69626?type=thumb 12.jpg 29.2 KB image/jpeg Download
69627?type=thumb 13.jpg 20.5 KB image/jpeg Download
Video/Audio Files

115-25215-The Isoperimetric Problem - Lecture 4-Antonio Ros

H.264 Video 115-25215-The_Isoperimetric_Problem_-_Lecture_4-Antonio_Ros.mp4 51 MB video/mp4 Download
115-25215-The_Isoperimetric_Problem_-_Lecture_4-Antonio_Ros.rm 19.4 MB application/vnd.rn-realmedia Download
Troubles with video?

Please report video problems to itsupport@slmath.org.

See more of our Streaming videos on our main VMath Videos page.