Home /  Workshop /  Schedules /  The Plateau and Douglas Problems for Surfaces of Constant Mean Curvature

The Plateau and Douglas Problems for Surfaces of Constant Mean Curvature

Clay Mathematics Institute Summer School on the Global Theory of Minimal Surfaces June 25, 2001 - July 27, 2001

June 25, 2001 (08:00 AM PDT - 05:00 PM PDT)
Speaker(s): Henry Wente
Primary Mathematics Subject Classification No Primary AMS MSC
Secondary Mathematics Subject Classification No Secondary AMS MSC
Video

115-25236-The Plateau and Douglas Problems for Surfaces of Constant Mean Curvature-Henry Wente

Abstract No Abstract Uploaded
Supplements
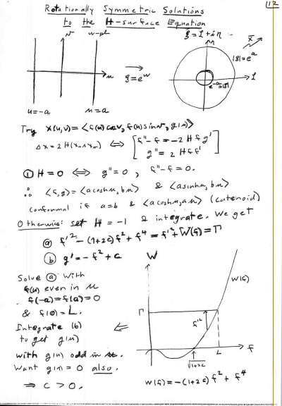
70090?type=thumb 01.jpg 15 KB image/jpeg Download
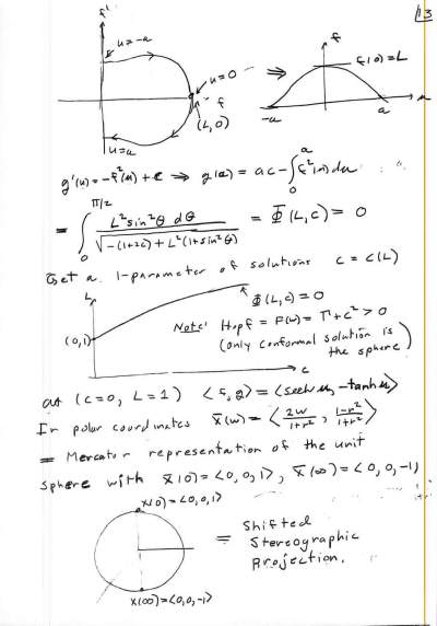
70091?type=thumb 02.jpg 32.2 KB image/jpeg Download
70092?type=thumb 03.jpg 37.1 KB image/jpeg Download
70093?type=thumb 04.jpg 26.6 KB image/jpeg Download
70094?type=thumb 05.jpg 29 KB image/jpeg Download
70095?type=thumb 06.jpg 25 KB image/jpeg Download
70096?type=thumb 07.jpg 31.7 KB image/jpeg Download
70097?type=thumb 08.jpg 28.8 KB image/jpeg Download
70098?type=thumb 09.jpg 25.6 KB image/jpeg Download
70099?type=thumb 10.jpg 24.7 KB image/jpeg Download
70100?type=thumb 11.jpg 29 KB image/jpeg Download
70101?type=thumb 12.jpg 20.4 KB image/jpeg Download
70102?type=thumb 13.jpg 33.9 KB image/jpeg Download
70103?type=thumb 14.jpg 17.2 KB image/jpeg Download
70104?type=thumb 15.jpg 28.7 KB image/jpeg Download
70105?type=thumb 16.jpg 32.1 KB image/jpeg Download
70106?type=thumb 17.jpg 30.8 KB image/jpeg Download
70107?type=thumb 18.jpg 27.5 KB image/jpeg Download
70108?type=thumb 19.jpg 25.7 KB image/jpeg Download
70109?type=thumb 20.jpg 32.8 KB image/jpeg Download
70110?type=thumb 21.jpg 35.6 KB image/jpeg Download
70111?type=thumb 22.jpg 30.4 KB image/jpeg Download
70112?type=thumb 23.jpg 9 KB image/jpeg Download
70113?type=thumb 24.jpg 8.59 KB image/jpeg Download
70114?type=thumb 25.jpg 9.49 KB image/jpeg Download
70115?type=thumb 26.jpg 31.5 KB image/jpeg Download
70116?type=thumb 27.jpg 15.6 KB image/jpeg Download
70117?type=thumb 28.jpg 55.4 KB image/jpeg Download
70118?type=thumb 29.jpg 34.4 KB image/jpeg Download
70119?type=thumb 30.jpg 54.9 KB image/jpeg Download
Video/Audio Files

115-25236-The Plateau and Douglas Problems for Surfaces of Constant Mean Curvature-Henry Wente

H.264 Video 115-25236-The_Plateau_and_Douglas_Problems_for_Surfaces_of_Constant_Mean_Curvature-Henry_Wente.mp4 47.4 MB video/mp4 Download
115-25236-The_Plateau_and_Douglas_Problems_for_Surfaces_of_Constant_Mean_Curvature-Henry_Wente.rm 17.4 MB application/vnd.rn-realmedia Download
Troubles with video?

Please report video problems to itsupport@slmath.org.

See more of our Streaming videos on our main VMath Videos page.