Home /  Workshop /  Schedules /  Baxter's Q-operator and the Virasoro algebra

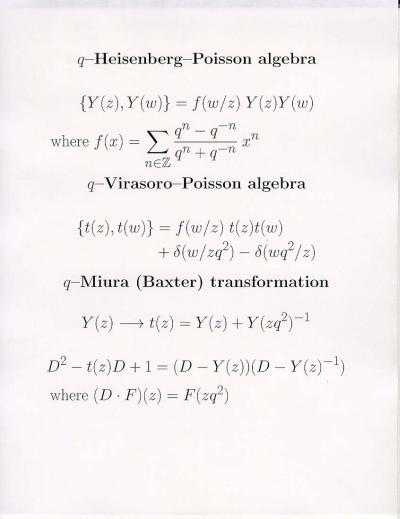
Baxter's Q-operator and the Virasoro algebra

Random Matrices, Statistical Mechanics, and Integrable Systems February 22, 1999 - February 26, 1999

February 22, 1999 (08:00 AM PST - 05:00 PM PST)
Speaker(s): Edward Frenkel
Primary Mathematics Subject Classification No Primary AMS MSC
Secondary Mathematics Subject Classification No Secondary AMS MSC
Video

120-25586-Baxter s Q-operator and the Virasoro algebra-Edward Frenkel

Abstract No Abstract Uploaded
Supplements
80779?type=thumb 01.jpg 19.4 KB image/jpeg Download
80780?type=thumb 02.jpg 25.3 KB image/jpeg Download
80781?type=thumb 03.jpg 14.6 KB image/jpeg Download
80782?type=thumb 04.jpg 16.3 KB image/jpeg Download
80783?type=thumb 05.jpg 19.4 KB image/jpeg Download
80784?type=thumb 06.jpg 11.8 KB image/jpeg Download
80785?type=thumb 07.jpg 29.2 KB image/jpeg Download
Video/Audio Files

120-25586-Baxter s Q-operator and the Virasoro algebra-Edward Frenkel

H.264 Video 120-25586-Baxter_s_Q-operator_and_the_Virasoro_algebra-Edward_Frenkel.mp4 62.3 MB video/mp4 Download
120-25586-Baxter_s_Q-operator_and_the_Virasoro_algebra-Edward_Frenkel.rm 21.7 MB application/vnd.rn-realmedia Download
Troubles with video?

Please report video problems to itsupport@slmath.org.

See more of our Streaming videos on our main VMath Videos page.