Home /  Workshop /  Schedules /  Weitzenbock formulae and estimates for anticipative stochastic integrals

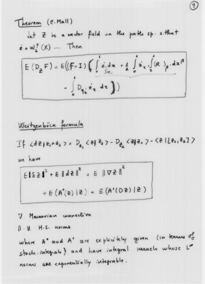
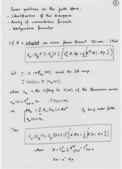
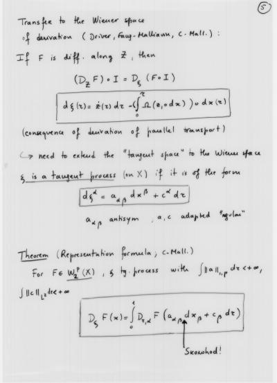
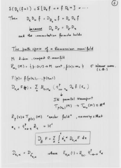
Weitzenbock formulae and estimates for anticipative stochastic integrals

Infinite dimensional stochastic analysis (includes Malliavin Calculus, Dirichlet forms) November 03, 1997 - November 07, 1997

November 03, 1997 (08:00 AM PST - 05:00 PM PST)
Speaker(s): A. B. Cruzeiro
Primary Mathematics Subject Classification No Primary AMS MSC
Secondary Mathematics Subject Classification No Secondary AMS MSC
Video

144-25897-Weitzenbock formulae and estimates for anticipative stochastic integrals-A. B. Cruzeiro

Abstract No Abstract Uploaded
Supplements
85050?type=thumb 01.jpg 24.9 KB image/jpeg Download
85051?type=thumb 02.jpg 24.5 KB image/jpeg Download
85052?type=thumb 03.jpg 22.7 KB image/jpeg Download
85053?type=thumb 04.jpg 23.8 KB image/jpeg Download
85054?type=thumb 05.jpg 24.2 KB image/jpeg Download
85055?type=thumb 06.jpg 23.4 KB image/jpeg Download
85056?type=thumb 07.jpg 22.1 KB image/jpeg Download
85057?type=thumb 08.jpg 21.4 KB image/jpeg Download
85058?type=thumb 09.jpg 23.2 KB image/jpeg Download
85059?type=thumb 10.jpg 21.8 KB image/jpeg Download
85060?type=thumb 11.jpg 14.5 KB image/jpeg Download
Video/Audio Files

144-25897-Weitzenbock formulae and estimates for anticipative stochastic integrals-A. B. Cruzeiro

H.264 Video 144-25897-Weitzenbock_formulae_and_estimates_for_anticipative_stochastic_integrals-A._B._Cruzeiro.mp4 40.3 MB video/mp4 Download
144-25897-Weitzenbock_formulae_and_estimates_for_anticipative_stochastic_integrals-A._B._Cruzeiro.rm 16 MB application/vnd.rn-realmedia Download
Troubles with video?

Please report video problems to itsupport@slmath.org.

See more of our Streaming videos on our main VMath Videos page.