Home /  Workshop /  Schedules /  Algebraic cycles and the classical groups

Algebraic cycles and the classical groups

Symposium in Geometry: a conference in honor of S. S. Chern March 05, 1998 - March 07, 1998

March 05, 1998 (08:00 AM PST - 05:00 PM PST)
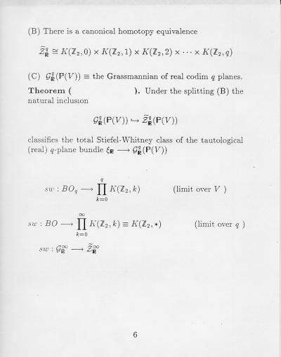
Speaker(s): Blaine Lawson
Primary Mathematics Subject Classification No Primary AMS MSC
Secondary Mathematics Subject Classification No Secondary AMS MSC
Video

151-25773-Algebraic cycles and the classical groups-Blaine Lawson

Abstract No Abstract Uploaded
Supplements
83550?type=thumb 01.jpg 23.3 KB image/jpeg Download
83551?type=thumb 02.jpg 21.4 KB image/jpeg Download
83552?type=thumb 03.jpg 21.9 KB image/jpeg Download
83553?type=thumb 04.jpg 20.5 KB image/jpeg Download
83554?type=thumb 05.jpg 15.9 KB image/jpeg Download
83555?type=thumb 06.jpg 18.2 KB image/jpeg Download
83556?type=thumb 07.jpg 18.8 KB image/jpeg Download
83557?type=thumb 08.jpg 22.5 KB image/jpeg Download
83558?type=thumb 09.jpg 11.5 KB image/jpeg Download
83559?type=thumb 10.jpg 24.1 KB image/jpeg Download
83560?type=thumb 11.jpg 22.2 KB image/jpeg Download
83561?type=thumb 12.jpg 18.4 KB image/jpeg Download
83562?type=thumb 13.jpg 25.2 KB image/jpeg Download
83563?type=thumb 14.jpg 8.02 KB image/jpeg Download
83564?type=thumb 15.jpg 21 KB image/jpeg Download
83565?type=thumb 16.jpg 23 KB image/jpeg Download
Video/Audio Files

151-25773-Algebraic cycles and the classical groups-Blaine Lawson

H.264 Video 151-25773-Algebraic_cycles_and_the_classical_groups-Blaine_Lawson.mp4 40.9 MB video/mp4 Download
151-25773-Algebraic_cycles_and_the_classical_groups-Blaine_Lawson.rm 16.4 MB application/vnd.rn-realmedia Download
Troubles with video?

Please report video problems to itsupport@slmath.org.

See more of our Streaming videos on our main VMath Videos page.