Home /  Workshop /  Schedules /  Bloch-Lichtenbaum spectral sequence

Bloch-Lichtenbaum spectral sequence

Workshop on Homotopy theory for algebraic varieties with applications to K-theory and quadratic forms May 12, 1998 - May 16, 1998

May 12, 1998 (08:00 AM PDT - 05:00 PM PDT)
Speaker(s): Andrei Suslin
Primary Mathematics Subject Classification No Primary AMS MSC
Secondary Mathematics Subject Classification No Secondary AMS MSC
Video

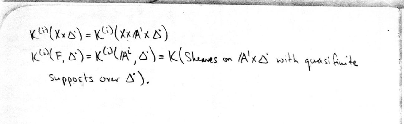
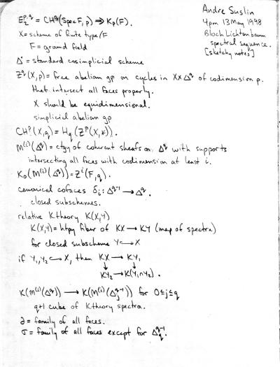
153-25791-Bloch-Lichtenbaum spectral sequence-Andrei Suslin

Abstract No Abstract Uploaded
Supplements
83728?type=thumb 01.jpg 33.2 KB image/jpeg Download
83729?type=thumb 02.jpg 31 KB image/jpeg Download
83730?type=thumb 03.jpg 33.7 KB image/jpeg Download
Video/Audio Files

153-25791-Bloch-Lichtenbaum spectral sequence-Andrei Suslin

H.264 Video 153-25791-Bloch-Lichtenbaum_spectral_sequence-Andrei_Suslin.mp4 67.5 MB video/mp4 Download
153-25791-Bloch-Lichtenbaum_spectral_sequence-Andrei_Suslin.rm 20.6 MB application/vnd.rn-realmedia Download
Troubles with video?

Please report video problems to itsupport@slmath.org.

See more of our Streaming videos on our main VMath Videos page.