Home /  Workshop /  Schedules /  Homotopy methods, part 4

Homotopy methods, part 4

Introductory Workshop on Foundations of Computational Mathematics and Symbolic Computation in Geometry and Analysis August 17, 1998 - August 26, 1998

August 17, 1998 (08:00 AM PDT - 05:00 PM PDT)
Speaker(s): Tien Yien Li
Primary Mathematics Subject Classification No Primary AMS MSC
Secondary Mathematics Subject Classification No Secondary AMS MSC
Video

208-25725-Homotopy methods, part 4-Tien Yien Li

Abstract No Abstract Uploaded
Supplements
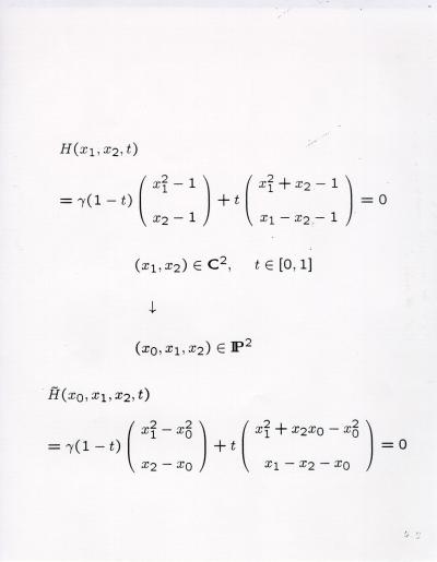
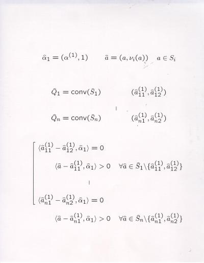
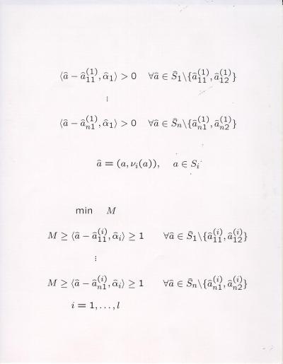
82819?type=thumb 01.jpg 5.82 KB image/jpeg Download
82820?type=thumb 02.jpg 14.4 KB image/jpeg Download
82821?type=thumb 03.jpg 15.2 KB image/jpeg Download
82822?type=thumb 04.jpg 12.4 KB image/jpeg Download
82823?type=thumb 05.jpg 13.2 KB image/jpeg Download
82824?type=thumb 06.jpg 12.8 KB image/jpeg Download
82825?type=thumb 07.jpg 13.1 KB image/jpeg Download
82826?type=thumb 08.jpg 13 KB image/jpeg Download
82827?type=thumb 09.jpg 12.6 KB image/jpeg Download
82828?type=thumb 10.jpg 18.6 KB image/jpeg Download
82829?type=thumb 11.jpg 11.1 KB image/jpeg Download
82830?type=thumb 12.jpg 12 KB image/jpeg Download
82831?type=thumb 13.jpg 15.3 KB image/jpeg Download
82832?type=thumb 14.jpg 15.3 KB image/jpeg Download
82833?type=thumb 15.jpg 10.3 KB image/jpeg Download
82834?type=thumb 16.jpg 17.2 KB image/jpeg Download
82835?type=thumb 17.jpg 11.8 KB image/jpeg Download
82836?type=thumb 18.jpg 14.1 KB image/jpeg Download
82837?type=thumb 19.jpg 13.4 KB image/jpeg Download
82838?type=thumb 20.jpg 4.98 KB image/jpeg Download
82839?type=thumb 21.jpg 24 KB image/jpeg Download
82840?type=thumb 22.jpg 25.5 KB image/jpeg Download
82841?type=thumb 23.jpg 12.1 KB image/jpeg Download
Video/Audio Files

208-25725-Homotopy methods, part 4-Tien Yien Li

H.264 Video 208-25725-Homotopy_methods__part_4-Tien_Yien_Li.mp4 54 MB video/mp4 Download
208-25725-Homotopy_methods__part_4-Tien_Yien_Li.rm 19.2 MB application/vnd.rn-realmedia Download
Troubles with video?

Please report video problems to itsupport@slmath.org.

See more of our Streaming videos on our main VMath Videos page.