Home /  Workshop /  Schedules /  Galois action on the projective line minus three points and noncommutative power series

Galois action on the projective line minus three points and noncommutative power series

1999 Von Neumann Conference on Arithmetic Fundamental Groups and Noncommutative Algebra August 16, 1999 - August 27, 1999

August 16, 1999 (08:00 AM PDT - 05:00 PM PDT)
Speaker(s): Ihara (1.5 hours)
Primary Mathematics Subject Classification No Primary AMS MSC
Secondary Mathematics Subject Classification No Secondary AMS MSC
Video

38-25402-Galois action on the projective line minus three points and noncommutative power series-Ihara (1.5 hours)

Abstract No Abstract Uploaded
Supplements
77893?type=thumb 01.jpg 33.6 KB image/jpeg Download
77894?type=thumb 02.jpg 35.3 KB image/jpeg Download
77895?type=thumb 03.jpg 31.5 KB image/jpeg Download
77896?type=thumb 04.jpg 34.3 KB image/jpeg Download
77897?type=thumb 05.jpg 33.6 KB image/jpeg Download
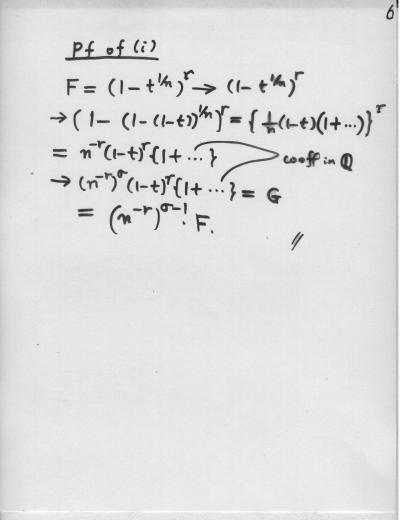
77898?type=thumb 06.jpg 16.2 KB image/jpeg Download
77899?type=thumb 07.jpg 20.6 KB image/jpeg Download
77900?type=thumb 08.jpg 31.4 KB image/jpeg Download
77901?type=thumb 09.jpg 25.6 KB image/jpeg Download
77902?type=thumb 10.jpg 28.1 KB image/jpeg Download
77903?type=thumb 11.jpg 19.8 KB image/jpeg Download
77904?type=thumb 12.jpg 28.3 KB image/jpeg Download
77905?type=thumb 13.jpg 26.7 KB image/jpeg Download
77906?type=thumb 14.jpg 24.4 KB image/jpeg Download
77907?type=thumb 15.jpg 29.7 KB image/jpeg Download
77908?type=thumb 16.jpg 33.6 KB image/jpeg Download
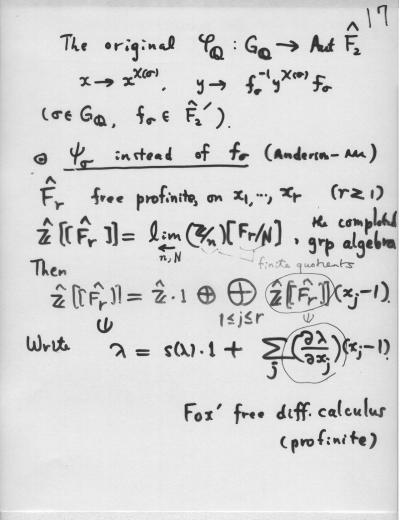
77909?type=thumb 17.jpg 35.9 KB image/jpeg Download
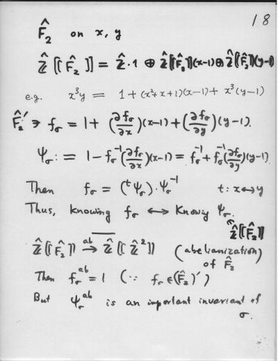
77910?type=thumb 18.jpg 18.7 KB image/jpeg Download
77911?type=thumb 19.jpg 26.9 KB image/jpeg Download
77912?type=thumb 20.jpg 27.6 KB image/jpeg Download
77913?type=thumb 21.jpg 27 KB image/jpeg Download
77914?type=thumb 22.jpg 29.6 KB image/jpeg Download
77915?type=thumb 23.jpg 28.4 KB image/jpeg Download
77916?type=thumb 24.jpg 33.4 KB image/jpeg Download
77917?type=thumb 25.jpg 32.2 KB image/jpeg Download
77918?type=thumb 26.jpg 28 KB image/jpeg Download
77919?type=thumb 27.jpg 28.7 KB image/jpeg Download
Video/Audio Files

38-25402-Galois action on the projective line minus three points and noncommutative power series-Ihara (1.5 hours)

H.264 Video 38-25402-Galois_action_on_the_projective_line_minus_three_points_and_noncommutative_power_series-Ihara_(1.5_hours).mp4 81.7 MB video/mp4 Download
38-25402-Galois_action_on_the_projective_line_minus_three_points_and_noncommutative_power_series-Ihara_(1.5_hours).rm 27.3 MB application/vnd.rn-realmedia Download
Troubles with video?

Please report video problems to itsupport@slmath.org.

See more of our Streaming videos on our main VMath Videos page.