Home /  Workshop /  Schedules /  Grothendieck-Teichmuller group and Hopf algebras

Grothendieck-Teichmuller group and Hopf algebras

1999 Von Neumann Conference on Arithmetic Fundamental Groups and Noncommutative Algebra August 16, 1999 - August 27, 1999

August 16, 1999 (08:00 AM PDT - 05:00 PM PDT)
Speaker(s): Research Seminar, Schneps
Primary Mathematics Subject Classification No Primary AMS MSC
Secondary Mathematics Subject Classification No Secondary AMS MSC
Video

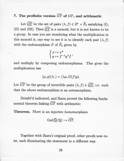
38-25410-Grothendieck-Teichmuller group and Hopf algebras-Research Seminar, Schneps

Abstract No Abstract Uploaded
Supplements
78083?type=thumb 01.jpg 16.1 KB image/jpeg Download
78084?type=thumb 02.jpg 21.9 KB image/jpeg Download
78085?type=thumb 03.jpg 22.1 KB image/jpeg Download
78086?type=thumb 04.jpg 13.9 KB image/jpeg Download
78087?type=thumb 05.jpg 26.1 KB image/jpeg Download
78088?type=thumb 06.jpg 27.7 KB image/jpeg Download
78089?type=thumb 07.jpg 18.8 KB image/jpeg Download
78090?type=thumb 08.jpg 27 KB image/jpeg Download
78091?type=thumb 09.jpg 22.3 KB image/jpeg Download
78092?type=thumb 10.jpg 24.1 KB image/jpeg Download
78093?type=thumb 11.jpg 32.8 KB image/jpeg Download
78094?type=thumb 12.jpg 27.9 KB image/jpeg Download
78095?type=thumb 13.jpg 25.5 KB image/jpeg Download
78096?type=thumb 14.jpg 29.6 KB image/jpeg Download
78097?type=thumb 15.jpg 31.8 KB image/jpeg Download
78098?type=thumb 16.jpg 32.2 KB image/jpeg Download
78099?type=thumb 17.jpg 32.2 KB image/jpeg Download
78100?type=thumb 18.jpg 22.6 KB image/jpeg Download
78101?type=thumb 19.jpg 33.7 KB image/jpeg Download
78102?type=thumb 20.jpg 29.4 KB image/jpeg Download
78103?type=thumb 21.jpg 17.9 KB image/jpeg Download
78104?type=thumb 22.jpg 13.1 KB image/jpeg Download
78105?type=thumb 23.jpg 33.4 KB image/jpeg Download
78106?type=thumb 24.jpg 24.4 KB image/jpeg Download
78107?type=thumb 25.jpg 29.6 KB image/jpeg Download
78108?type=thumb 26.jpg 26.9 KB image/jpeg Download
78109?type=thumb 27.jpg 17.8 KB image/jpeg Download
78110?type=thumb 28.jpg 31.3 KB image/jpeg Download
78111?type=thumb 29.jpg 28.6 KB image/jpeg Download
78112?type=thumb 30.jpg 12.3 KB image/jpeg Download
78113?type=thumb 31.jpg 16 KB image/jpeg Download
Video/Audio Files

38-25410-Grothendieck-Teichmuller group and Hopf algebras-Research Seminar, Schneps

H.264 Video 38-25410-Grothendieck-Teichmuller_group_and_Hopf_algebras-Research_Seminar__Schneps.mp4 54.2 MB video/mp4 Download
38-25410-Grothendieck-Teichmuller_group_and_Hopf_algebras-Research_Seminar__Schneps.rm 19.3 MB application/vnd.rn-realmedia Download
Troubles with video?

Please report video problems to itsupport@slmath.org.

See more of our Streaming videos on our main VMath Videos page.