Home /  Workshop /  Schedules /  On Yetter-Drinfel'd categories and H-commutativity

On Yetter-Drinfel'd categories and H-commutativity

Hopf Algebras October 25, 1999 - October 29, 1999

October 25, 1999 (08:00 AM PDT - 05:00 PM PDT)
Speaker(s): Davida Fischman
Primary Mathematics Subject Classification No Primary AMS MSC
Secondary Mathematics Subject Classification No Secondary AMS MSC
Video

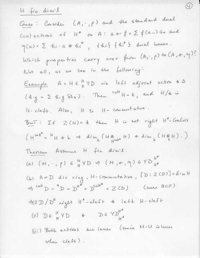
39-25468-On Yetter-Drinfel d categories and H-commutativity-Davida Fischman

Abstract No Abstract Uploaded
Supplements
79232?type=thumb 01.jpg 8.31 KB image/jpeg Download
79233?type=thumb 02.jpg 26.1 KB image/jpeg Download
79234?type=thumb 03.jpg 23.1 KB image/jpeg Download
79235?type=thumb 04.jpg 27.1 KB image/jpeg Download
79236?type=thumb 05.jpg 23.7 KB image/jpeg Download
79237?type=thumb 06.jpg 22.3 KB image/jpeg Download
79238?type=thumb 07.jpg 26.7 KB image/jpeg Download
Video/Audio Files

39-25468-On Yetter-Drinfel d categories and H-commutativity-Davida Fischman

H.264 Video 39-25468-On_Yetter-Drinfel_d_categories_and_H-commutativity-Davida_Fischman.mp4 35.1 MB video/mp4 Download
39-25468-On_Yetter-Drinfel_d_categories_and_H-commutativity-Davida_Fischman.rm 11.5 MB application/vnd.rn-realmedia Download
Troubles with video?

Please report video problems to itsupport@slmath.org.

See more of our Streaming videos on our main VMath Videos page.