Home /  Workshop /  Schedules /  A Hopf structure on Down-up algebras

A Hopf structure on Down-up algebras

Hopf Algebras October 25, 1999 - October 29, 1999

October 25, 1999 (08:00 AM PDT - 05:00 PM PDT)
Speaker(s): Sarah Witherspoon
Primary Mathematics Subject Classification No Primary AMS MSC
Secondary Mathematics Subject Classification No Secondary AMS MSC
Video

39-25475-A Hopf structure on Down-up algebras-Sarah Witherspoon

Abstract No Abstract Uploaded
Supplements
79313?type=thumb 01.jpg 16.6 KB image/jpeg Download
79314?type=thumb 02.jpg 15.9 KB image/jpeg Download
79315?type=thumb 03.jpg 26.6 KB image/jpeg Download
79316?type=thumb 04.jpg 22.4 KB image/jpeg Download
79317?type=thumb 05.jpg 28.9 KB image/jpeg Download
79318?type=thumb 06.jpg 25.4 KB image/jpeg Download
79319?type=thumb 07.jpg 28.6 KB image/jpeg Download
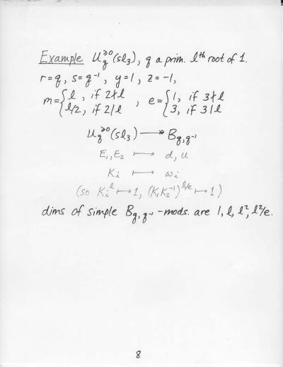
79320?type=thumb 08.jpg 25.4 KB image/jpeg Download
79321?type=thumb 09.jpg 15.2 KB image/jpeg Download
79322?type=thumb 10.jpg 29.2 KB image/jpeg Download
79323?type=thumb 11.jpg 17 KB image/jpeg Download
Video/Audio Files

39-25475-A Hopf structure on Down-up algebras-Sarah Witherspoon

H.264 Video 39-25475-A_Hopf_structure_on_Down-up_algebras-Sarah_Witherspoon.mp4 26.8 MB video/mp4 Download
39-25475-A_Hopf_structure_on_Down-up_algebras-Sarah_Witherspoon.rm 9.05 MB application/vnd.rn-realmedia Download
Troubles with video?

Please report video problems to itsupport@slmath.org.

See more of our Streaming videos on our main VMath Videos page.