Home /  Workshop /  Schedules /  Characteristic square, extended modular automorphisms and grading

Characteristic square, extended modular automorphisms and grading

Simple C*-algebras and Non-commutative Dynamical Systems September 25, 2000 - September 29, 2000

September 25, 2000 (08:00 AM PDT - 05:00 PM PDT)
Speaker(s): Masamichi Takesaki
Primary Mathematics Subject Classification No Primary AMS MSC
Secondary Mathematics Subject Classification No Secondary AMS MSC
Video

4-25296-Characteristic square, extended modular automorphisms and grading-Masamichi Takesaki

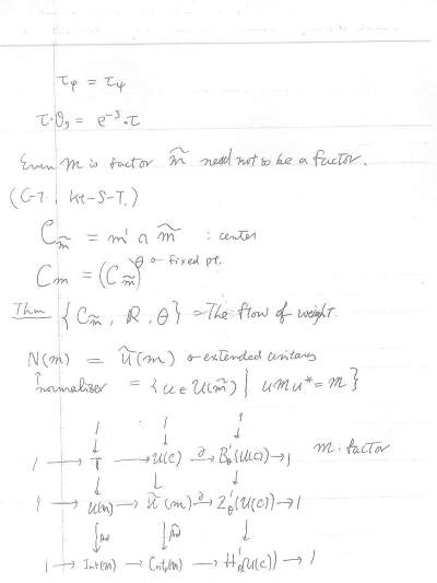
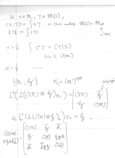
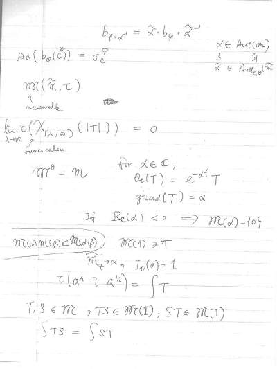
Abstract No Abstract Uploaded
Supplements
72258?type=thumb 01.jpg 18.1 KB image/jpeg Download
72259?type=thumb 02.jpg 15.1 KB image/jpeg Download
72260?type=thumb 03.jpg 17 KB image/jpeg Download
72261?type=thumb 04.jpg 16.8 KB image/jpeg Download
72262?type=thumb 05.jpg 8.45 KB image/jpeg Download
Video/Audio Files

4-25296-Characteristic square, extended modular automorphisms and grading-Masamichi Takesaki

H.264 Video 4-25296-Characteristic_square__extended_modular_automorphisms_and_grading-Masamichi_Takesaki.mp4 32.8 MB video/mp4 Download
4-25296-Characteristic_square__extended_modular_automorphisms_and_grading-Masamichi_Takesaki.rm 11.8 MB application/vnd.rn-realmedia Download
Troubles with video?

Please report video problems to itsupport@slmath.org.

See more of our Streaming videos on our main VMath Videos page.