Home /  Workshop /  Schedules /  Constructions of factor representations for some locally finite groups

Constructions of factor representations for some locally finite groups

Simple C*-algebras and Non-commutative Dynamical Systems September 25, 2000 - September 29, 2000

September 27, 2000 (02:15 PM PDT - 03:00 PM PDT)
Speaker(s): Anatoly Vershik
Location: SLMath: Eisenbud Auditorium
Primary Mathematics Subject Classification No Primary AMS MSC
Secondary Mathematics Subject Classification No Secondary AMS MSC
Video

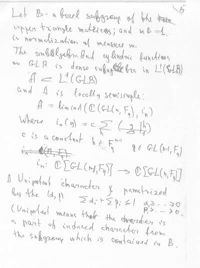
4-68-Constructions of factor representations for some locally finite groups-Anatoly Vershik

Abstract No Abstract Uploaded
Supplements
72252?type=thumb 01.jpg 28.3 KB image/jpeg Download
72253?type=thumb 02.jpg 24.5 KB image/jpeg Download
72254?type=thumb 03.jpg 25.2 KB image/jpeg Download
72255?type=thumb 04.jpg 26.8 KB image/jpeg Download
72256?type=thumb 05.jpg 24 KB image/jpeg Download
72257?type=thumb 06.jpg 22.9 KB image/jpeg Download
Video/Audio Files

4-68-Constructions of factor representations for some locally finite groups-Anatoly Vershik

H.264 Video 4-68-Constructions_of_factor_representations_for_some_locally_finite_groups-Anatoly_Vershik.mp4 30.4 MB video/mp4 Download
4-68-Constructions_of_factor_representations_for_some_locally_finite_groups-Anatoly_Vershik.rm 11.2 MB application/vnd.rn-realmedia Download
Troubles with video?

Please report video problems to itsupport@slmath.org.

See more of our Streaming videos on our main VMath Videos page.