Home /  Workshop /  Schedules /  The calculation of periods on HpXH and Heegner points attached to real quadratic fields: a progress report

The calculation of periods on HpXH and Heegner points attached to real quadratic fields: a progress report

Arithmetic Geometry December 11, 2000 - December 15, 2000

December 12, 2000 (04:50 PM PST - 05:50 PM PST)
Speaker(s): Henri Darmon (McGill University)
Location: SLMath: Eisenbud Auditorium
Primary Mathematics Subject Classification No Primary AMS MSC
Secondary Mathematics Subject Classification No Secondary AMS MSC
Video

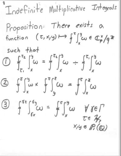
8-178-The calculation of periods on $H_ptimes H$ and Heegner points attached to real quadratic fields: a progress report-Henri Darmon

Abstract No Abstract Uploaded
Supplements
74230?type=thumb 01.jpg 10.6 KB image/jpeg Download
74231?type=thumb 02.jpg 21.4 KB image/jpeg Download
74232?type=thumb 03.jpg 20.5 KB image/jpeg Download
74233?type=thumb 04.jpg 18.1 KB image/jpeg Download
74234?type=thumb 05.jpg 21.2 KB image/jpeg Download
74235?type=thumb 06.jpg 16.9 KB image/jpeg Download
74236?type=thumb 07.jpg 16.1 KB image/jpeg Download
74237?type=thumb 08.jpg 17.7 KB image/jpeg Download
74238?type=thumb 09.jpg 20.8 KB image/jpeg Download
74239?type=thumb 10.jpg 16.2 KB image/jpeg Download
74240?type=thumb 11.jpg 17.5 KB image/jpeg Download
74241?type=thumb 12.jpg 15.7 KB image/jpeg Download
74242?type=thumb 13.jpg 35 KB image/jpeg Download
74243?type=thumb 14.jpg 15.7 KB image/jpeg Download
Video/Audio Files

8-178-The calculation of periods on $H_ptimes H$ and Heegner points attached to real quadratic fields: a progress report-Henri Darmon

H.264 Video 8-178-The_calculation_of_periods_on__H_ptimes_H__and_Heegner_points_attached_to_real_quadratic_fields__a_progress_report-Henri_Darmon.mp4 26.3 MB video/mp4 Download
8-178-The_calculation_of_periods_on__H_ptimes_H__and_Heegner_points_attached_to_real_quadratic_fields__a_progress_report-Henri_Darmon.rm 10.4 MB application/vnd.rn-realmedia Download
Troubles with video?

Please report video problems to itsupport@slmath.org.

See more of our Streaming videos on our main VMath Videos page.