Home /  Workshop /  Schedules /  The length of a Gamma factor

The length of a Gamma factor

Free Probability and Non-commutative Banach Spaces January 22, 2001 - January 27, 2001

January 23, 2001 (10:00 AM PST - 11:00 AM PST)
Speaker(s): Erik Christensen
Location: SLMath: Eisenbud Auditorium
Primary Mathematics Subject Classification No Primary AMS MSC
Secondary Mathematics Subject Classification No Secondary AMS MSC
Video

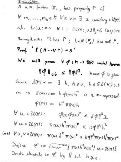
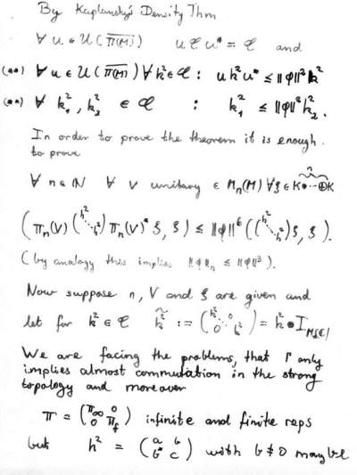
9-208-The length of a Gamma factor-E. Christensen

Abstract No Abstract Uploaded
Supplements
65009?type=thumb 01.jpg 23.7 KB image/jpeg Download
65010?type=thumb 02.jpg 24.3 KB image/jpeg Download
65011?type=thumb 03.jpg 26.1 KB image/jpeg Download
65012?type=thumb 04.jpg 25 KB image/jpeg Download
65013?type=thumb 05.jpg 26 KB image/jpeg Download
65014?type=thumb 06.jpg 26.6 KB image/jpeg Download
65015?type=thumb 07.jpg 14.3 KB image/jpeg Download
Video/Audio Files

9-208-The length of a Gamma factor-E. Christensen

H.264 Video 9-208-The_length_of_a_Gamma_factor-E._Christensen.mp4 24.8 MB video/mp4 Download
9-208-The_length_of_a_Gamma_factor-E._Christensen.rm 7.88 MB application/vnd.rn-realmedia Download
Troubles with video?

Please report video problems to itsupport@slmath.org.

See more of our Streaming videos on our main VMath Videos page.