Home /  Workshop /  Schedules /  Free cummulants, matrix orbits and characters of symmetric groups

Free cummulants, matrix orbits and characters of symmetric groups

Free Probability and Non-commutative Banach Spaces January 22, 2001 - January 27, 2001

January 24, 2001 (09:30 AM PST - 10:50 AM PST)
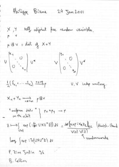
Speaker(s): Philippe Biane (École Normale Supérieure)
Location: SLMath: Eisenbud Auditorium
Primary Mathematics Subject Classification No Primary AMS MSC
Secondary Mathematics Subject Classification No Secondary AMS MSC
Video
No Video Uploaded
Abstract No Abstract Uploaded
Supplements
65109?type=thumb 01.jpg 19.2 KB image/jpeg Download
65110?type=thumb 02.jpg 19.1 KB image/jpeg Download
65111?type=thumb 03.jpg 9.58 KB image/jpeg Download
65112?type=thumb 04.jpg 9.67 KB image/jpeg Download
65113?type=thumb 05.jpg 13.7 KB image/jpeg Download
65114?type=thumb 06.jpg 14 KB image/jpeg Download
65115?type=thumb 07.jpg 14.8 KB image/jpeg Download
65116?type=thumb 08.jpg 12.8 KB image/jpeg Download
65117?type=thumb 09.jpg 14.1 KB image/jpeg Download
Video/Audio Files
No Video Files Uploaded