Home /  Workshop /  Schedules /  $$\ell^2$$-invariants for groups and equivalence relations

$$\ell^2$$-invariants for groups and equivalence relations

Free Probability and Non-commutative Banach Spaces January 22, 2001 - January 27, 2001

January 25, 2001 (01:30 PM PST - 02:00 PM PST)
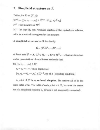
Speaker(s): Damien Gaboriau
Location: SLMath: Eisenbud Auditorium
Primary Mathematics Subject Classification No Primary AMS MSC
Secondary Mathematics Subject Classification No Secondary AMS MSC
Video

9-226-l^2 -invariants for groups and equivalence relations-D. Gaboriau

Abstract No Abstract Uploaded
Supplements
65230?type=thumb 01.jpg 10.6 KB image/jpeg Download
65231?type=thumb 02.jpg 16 KB image/jpeg Download
65232?type=thumb 03.jpg 17.3 KB image/jpeg Download
65233?type=thumb 04.jpg 16.8 KB image/jpeg Download
65234?type=thumb 05.jpg 15.2 KB image/jpeg Download
65235?type=thumb 06.jpg 17.6 KB image/jpeg Download
65236?type=thumb 07.jpg 16.3 KB image/jpeg Download
65237?type=thumb 08.jpg 11.1 KB image/jpeg Download
65238?type=thumb 09.jpg 17.4 KB image/jpeg Download
65239?type=thumb 10.jpg 13.6 KB image/jpeg Download
65240?type=thumb 11.jpg 12.5 KB image/jpeg Download
65241?type=thumb 12.jpg 11.8 KB image/jpeg Download
65242?type=thumb 13.jpg 15.8 KB image/jpeg Download
65243?type=thumb 14.jpg 13.4 KB image/jpeg Download
65244?type=thumb 15.jpg 16.3 KB image/jpeg Download
65245?type=thumb 16.jpg 18 KB image/jpeg Download
65246?type=thumb 17.jpg 12.9 KB image/jpeg Download
Video/Audio Files

9-226-l^2 -invariants for groups and equivalence relations-D. Gaboriau

H.264 Video 9-226-l_2_-invariants_for_groups_and_equivalence_relations-D._Gaboriau.mp4 40.5 MB video/mp4 Download
9-226-l_2_-invariants_for_groups_and_equivalence_relations-D._Gaboriau.rm 16.8 MB application/vnd.rn-realmedia Download
Troubles with video?

Please report video problems to itsupport@slmath.org.

See more of our Streaming videos on our main VMath Videos page.