Home /  Workshop /  Schedules /  Self decomposability and Levy processes

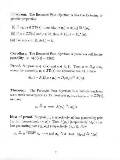
Self decomposability and Levy processes

Free Probability and Non-commutative Banach Spaces January 22, 2001 - January 27, 2001

January 25, 2001 (04:30 PM PST - 05:30 PM PST)
Speaker(s): S. Thorbjoernsen
Location: SLMath: Eisenbud Auditorium
Primary Mathematics Subject Classification No Primary AMS MSC
Secondary Mathematics Subject Classification No Secondary AMS MSC
Video

9-229-Self decomposability and Levy processes-S. Thorbjoernsen

Abstract No Abstract Uploaded
Supplements
65263?type=thumb 01.jpg 5.98 KB image/jpeg Download
65264?type=thumb 02.jpg 11.7 KB image/jpeg Download
65265?type=thumb 03.jpg 19.6 KB image/jpeg Download
65266?type=thumb 04.jpg 23.8 KB image/jpeg Download
65267?type=thumb 05.jpg 17 KB image/jpeg Download
65268?type=thumb 06.jpg 26.7 KB image/jpeg Download
65269?type=thumb 07.jpg 23.7 KB image/jpeg Download
65270?type=thumb 08.jpg 23.7 KB image/jpeg Download
65271?type=thumb 09.jpg 11.8 KB image/jpeg Download
65272?type=thumb 10.jpg 25 KB image/jpeg Download
65273?type=thumb 11.jpg 7.63 KB image/jpeg Download
Video/Audio Files

9-229-Self decomposability and Levy processes-S. Thorbjoernsen

H.264 Video 9-229-Self_decomposability_and_Levy_processes-S._Thorbjoernsen.mp4 24.3 MB video/mp4 Download
9-229-Self_decomposability_and_Levy_processes-S._Thorbjoernsen.rm 10.1 MB application/vnd.rn-realmedia Download
Troubles with video?

Please report video problems to itsupport@slmath.org.

See more of our Streaming videos on our main VMath Videos page.