Home /  Workshop /  Schedules /  Uniqueness in inverse obstacle scattering

Uniqueness in inverse obstacle scattering

Introductory Workshop in Inverse Problems and Integral Geometry August 13, 2001 - August 24, 2001

August 23, 2001 (11:00 AM PDT - 12:00 PM PDT)
Speaker(s): Rainer Kress
Location: SLMath: Eisenbud Auditorium
Primary Mathematics Subject Classification No Primary AMS MSC
Secondary Mathematics Subject Classification No Secondary AMS MSC
Video

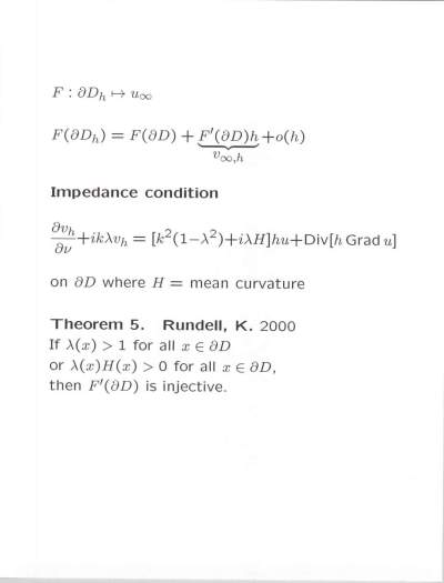
95-506-Uniqueness in Inverse Obstacle Scattering-Rainer Kress

Abstract No Abstract Uploaded
Supplements
62562?type=thumb 01.jpg 5.23 KB image/jpeg Download
62563?type=thumb 02.jpg 8.63 KB image/jpeg Download
62564?type=thumb 03.jpg 12.6 KB image/jpeg Download
62565?type=thumb 04.jpg 11 KB image/jpeg Download
62566?type=thumb 05.jpg 8.58 KB image/jpeg Download
62567?type=thumb 06.jpg 7.48 KB image/jpeg Download
62568?type=thumb 07.jpg 7.76 KB image/jpeg Download
62569?type=thumb 08.jpg 9.41 KB image/jpeg Download
62570?type=thumb 09.jpg 15.1 KB image/jpeg Download
62571?type=thumb 10.jpg 18.3 KB image/jpeg Download
62572?type=thumb 11.jpg 12 KB image/jpeg Download
62573?type=thumb 12.jpg 14.3 KB image/jpeg Download
62574?type=thumb 13.jpg 11 KB image/jpeg Download
62575?type=thumb 14.jpg 14 KB image/jpeg Download
62576?type=thumb 15.jpg 8.58 KB image/jpeg Download
62577?type=thumb 16.jpg 21.2 KB image/jpeg Download
62578?type=thumb 17.jpg 12.4 KB image/jpeg Download
62579?type=thumb 18.jpg 12.4 KB image/jpeg Download
62580?type=thumb 19.jpg 12.4 KB image/jpeg Download
62581?type=thumb 20.jpg 15.3 KB image/jpeg Download
Video/Audio Files

95-506-Uniqueness in Inverse Obstacle Scattering-Rainer Kress

H.264 Video 95-506-Uniqueness_in_Inverse_Obstacle_Scattering-Rainer_Kress.mp4 43.3 MB video/mp4 Download
95-506-Uniqueness_in_Inverse_Obstacle_Scattering-Rainer_Kress.rm 16.6 MB application/vnd.rn-realmedia Download
Troubles with video?

Please report video problems to itsupport@slmath.org.

See more of our Streaming videos on our main VMath Videos page.