Home /  Workshop /  Schedules /  Algebraic patching

Algebraic patching

Constructive Galois Theory October 04, 1999 - October 08, 1999

October 04, 1999 (08:00 AM PDT - 05:00 PM PDT)
Speaker(s): D. Haran
Primary Mathematics Subject Classification No Primary AMS MSC
Secondary Mathematics Subject Classification No Secondary AMS MSC
Video

131-25413-Algebraic patching-D. Haran

Abstract No Abstract Uploaded
Supplements
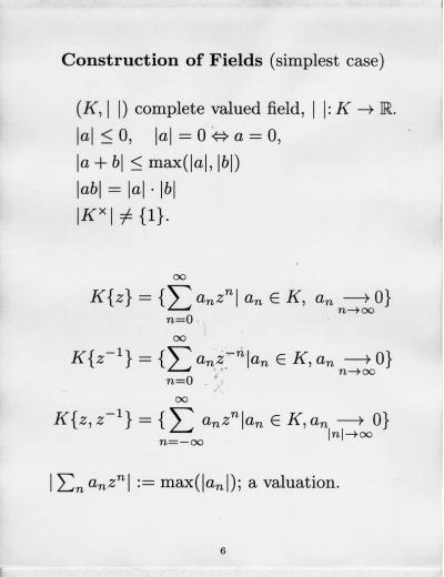
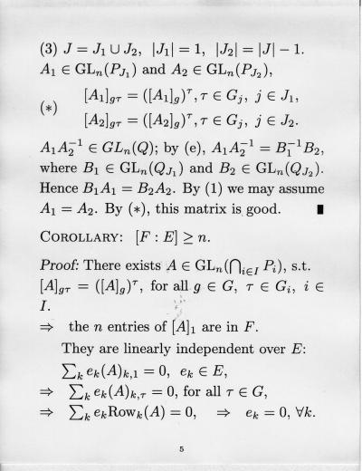
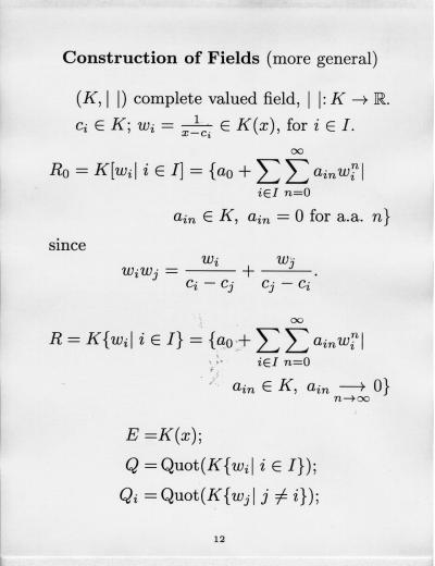
78156?type=thumb 01.jpg 17.9 KB image/jpeg Download
78157?type=thumb 02.jpg 23.7 KB image/jpeg Download
78158?type=thumb 03.jpg 30.3 KB image/jpeg Download
78159?type=thumb 04.jpg 26.9 KB image/jpeg Download
78160?type=thumb 05.jpg 36.1 KB image/jpeg Download
78161?type=thumb 06.jpg 22.3 KB image/jpeg Download
78162?type=thumb 07.jpg 34 KB image/jpeg Download
78163?type=thumb 08.jpg 30.1 KB image/jpeg Download
78164?type=thumb 09.jpg 26.3 KB image/jpeg Download
78165?type=thumb 10.jpg 32.3 KB image/jpeg Download
78166?type=thumb 11.jpg 22.5 KB image/jpeg Download
78167?type=thumb 12.jpg 24 KB image/jpeg Download
78168?type=thumb 13.jpg 26.6 KB image/jpeg Download
78169?type=thumb 14.jpg 34.4 KB image/jpeg Download
Video/Audio Files

131-25413-Algebraic patching-D. Haran

H.264 Video 131-25413-Algebraic_patching-D._Haran.mp4 40.7 MB video/mp4 Download
131-25413-Algebraic_patching-D._Haran.rm 15.3 MB application/vnd.rn-realmedia Download
Troubles with video?

Please report video problems to itsupport@slmath.org.

See more of our Streaming videos on our main VMath Videos page.