Home /  Workshop /  Schedules /  Duistermaat-Heckman formulas for group valued moment maps and moduli spaces of flat connections

Duistermaat-Heckman formulas for group valued moment maps and moduli spaces of flat connections

Symposium in Geometry: a conference in honor of S. S. Chern March 05, 1998 - March 07, 1998

March 05, 1998 (08:00 AM PST - 05:00 PM PST)
Speaker(s): Ekhard Meinrenken
Primary Mathematics Subject Classification No Primary AMS MSC
Secondary Mathematics Subject Classification No Secondary AMS MSC
Video

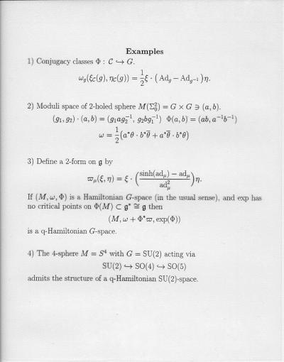
151-25775-Duistermaat-Heckman formulas for group valued moment maps and moduli spaces of flat connections-Ekhard Meinrenken

Abstract No Abstract Uploaded
Supplements
83574?type=thumb 01.jpg 16.3 KB image/jpeg Download
83575?type=thumb 02.jpg 18.1 KB image/jpeg Download
83576?type=thumb 03.jpg 24.7 KB image/jpeg Download
83577?type=thumb 04.jpg 13 KB image/jpeg Download
83578?type=thumb 05.jpg 15.2 KB image/jpeg Download
83579?type=thumb 06.jpg 25.5 KB image/jpeg Download
83580?type=thumb 07.jpg 21.3 KB image/jpeg Download
83581?type=thumb 08.jpg 26.2 KB image/jpeg Download
83582?type=thumb 09.jpg 22.5 KB image/jpeg Download
83583?type=thumb 10.jpg 20.2 KB image/jpeg Download
83584?type=thumb 11.jpg 24.5 KB image/jpeg Download
83585?type=thumb 12.jpg 29.2 KB image/jpeg Download
83586?type=thumb 13.jpg 23 KB image/jpeg Download
83587?type=thumb 14.jpg 21.5 KB image/jpeg Download
83588?type=thumb 15.jpg 18.9 KB image/jpeg Download
83589?type=thumb 16.jpg 21.3 KB image/jpeg Download
Video/Audio Files

151-25775-Duistermaat-Heckman formulas for group valued moment maps and moduli spaces of flat connections-Ekhard Meinrenken

H.264 Video 151-25775-Duistermaat-Heckman_formulas_for_group_valued_moment_maps_and_moduli_spaces_of_flat_connections-Ekhard_Meinrenken.mp4 50.8 MB video/mp4 Download
151-25775-Duistermaat-Heckman_formulas_for_group_valued_moment_maps_and_moduli_spaces_of_flat_connections-Ekhard_Meinrenken.rm 20.2 MB application/vnd.rn-realmedia Download
Troubles with video?

Please report video problems to itsupport@slmath.org.

See more of our Streaming videos on our main VMath Videos page.