Home /  Workshop /  Schedules /  Lattice basis reduction algorithms in cryptanalysis

Lattice basis reduction algorithms in cryptanalysis

Clay Mathematics Institute Introductory Workshop in Algorithmic Number Theory August 14, 2000 - August 23, 2000

August 18, 2000 (11:00 AM PDT - 02:00 PM PDT)
Speaker(s): Andrew Odlyzko (University of Minnesota)
Location: SLMath: Eisenbud Auditorium
Primary Mathematics Subject Classification No Primary AMS MSC
Secondary Mathematics Subject Classification No Secondary AMS MSC
Video

26-362-Lattice basis reduction algorithms in cryptanalysis-Andrew Odlyzko

Abstract No Abstract Uploaded
Supplements
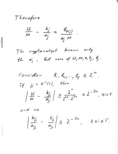
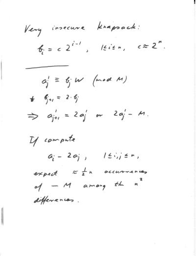
71279?type=thumb 01.jpg 16.6 KB image/jpeg Download
71280?type=thumb 02.jpg 26.1 KB image/jpeg Download
71281?type=thumb 03.jpg 10.9 KB image/jpeg Download
71282?type=thumb 04.jpg 15.8 KB image/jpeg Download
71283?type=thumb 05.jpg 12.4 KB image/jpeg Download
71284?type=thumb 06.jpg 13.6 KB image/jpeg Download
71285?type=thumb 07.jpg 12.4 KB image/jpeg Download
71286?type=thumb 08.jpg 10 KB image/jpeg Download
71287?type=thumb 09.jpg 16.4 KB image/jpeg Download
71288?type=thumb 10.jpg 14.6 KB image/jpeg Download
71289?type=thumb 11.jpg 12.2 KB image/jpeg Download
71290?type=thumb 12.jpg 13.6 KB image/jpeg Download
71291?type=thumb 13.jpg 14.8 KB image/jpeg Download
71292?type=thumb 14.jpg 13.9 KB image/jpeg Download
71293?type=thumb 15.jpg 15.1 KB image/jpeg Download
71294?type=thumb 16.jpg 12.9 KB image/jpeg Download
71295?type=thumb 17.jpg 18.4 KB image/jpeg Download
71296?type=thumb 18.jpg 13.3 KB image/jpeg Download
71297?type=thumb 19.jpg 12 KB image/jpeg Download
71298?type=thumb 20.jpg 12.1 KB image/jpeg Download
71299?type=thumb 21.jpg 16.7 KB image/jpeg Download
71300?type=thumb 22.jpg 18.4 KB image/jpeg Download
71301?type=thumb 23.jpg 19.4 KB image/jpeg Download
Video/Audio Files

26-362-Lattice basis reduction algorithms in cryptanalysis-Andrew Odlyzko

H.264 Video 26-362-Lattice_basis_reduction_algorithms_in_cryptanalysis-Andrew_Odlyzko.mp4 48.8 MB video/mp4 Download
26-362-Lattice_basis_reduction_algorithms_in_cryptanalysis-Andrew_Odlyzko.rm 18.9 MB application/vnd.rn-realmedia Download
Troubles with video?

Please report video problems to itsupport@slmath.org.

See more of our Streaming videos on our main VMath Videos page.