Home /  Workshop /  Schedules /  Completely contractive projections on non-commutative L^1 spaces

Completely contractive projections on non-commutative L^1 spaces

Free Probability and Non-commutative Banach Spaces January 22, 2001 - January 27, 2001

January 22, 2001 (08:00 AM PST - 05:00 PM PST)
Speaker(s): P.W. Ng
Primary Mathematics Subject Classification No Primary AMS MSC
Secondary Mathematics Subject Classification No Secondary AMS MSC
Video

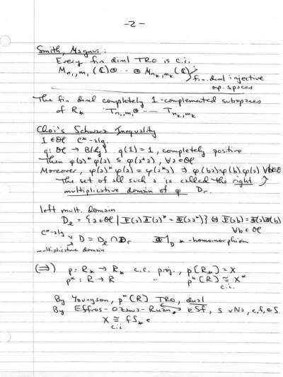
9-25159-Completely contractive projections on non-commutative L^1 spaces-P.W. Ng

Abstract No Abstract Uploaded
Supplements
65337?type=thumb 01.jpg 32.4 KB image/jpeg Download
65338?type=thumb 02.jpg 31.4 KB image/jpeg Download
65339?type=thumb 03.jpg 26.9 KB image/jpeg Download
Video/Audio Files

9-25159-Completely contractive projections on non-commutative L^1 spaces-P.W. Ng

H.264 Video 9-25159-Completely_contractive_projections_on_non-commutative_L_1_spaces-P.W._Ng.mp4 23.4 MB video/mp4 Download
9-25159-Completely_contractive_projections_on_non-commutative_L_1_spaces-P.W._Ng.rm 8.63 MB application/vnd.rn-realmedia Download
Troubles with video?

Please report video problems to itsupport@slmath.org.

See more of our Streaming videos on our main VMath Videos page.