Home /  Workshop /  Schedules /  Branched Covers of Curves by Curves of Fixed Genus

Branched Covers of Curves by Curves of Fixed Genus

Constructive Galois Theory October 04, 1999 - October 08, 1999

October 04, 1999 (08:00 AM PDT - 05:00 PM PDT)
Speaker(s): R. Guralnick
Primary Mathematics Subject Classification No Primary AMS MSC
Secondary Mathematics Subject Classification No Secondary AMS MSC
Video

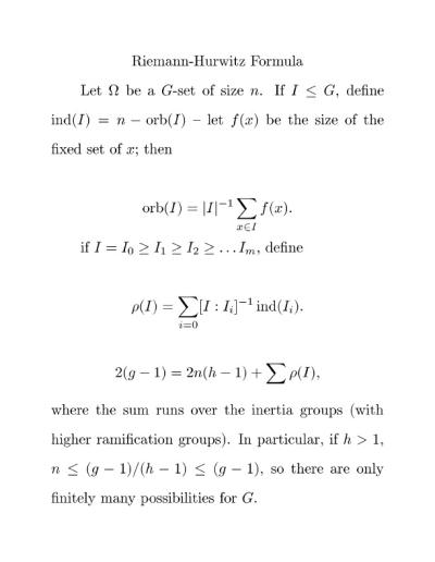
131-25417-Branched Covers of Curves by Curves of Fixed Genus-R. Guralnick

Abstract No Abstract Uploaded
Supplements
78229?type=thumb 01.jpg 24 KB image/jpeg Download
78230?type=thumb 02.jpg 16.9 KB image/jpeg Download
78231?type=thumb 03.jpg 18.3 KB image/jpeg Download
78232?type=thumb 04.jpg 16 KB image/jpeg Download
78233?type=thumb 05.jpg 21.4 KB image/jpeg Download
78234?type=thumb 06.jpg 25.3 KB image/jpeg Download
78235?type=thumb 07.jpg 22.4 KB image/jpeg Download
78236?type=thumb 08.jpg 11.7 KB image/jpeg Download
78237?type=thumb 09.jpg 16.4 KB image/jpeg Download
78238?type=thumb 10.jpg 24.4 KB image/jpeg Download
78239?type=thumb 11.jpg 28.2 KB image/jpeg Download
78240?type=thumb 12.jpg 20 KB image/jpeg Download
78241?type=thumb 13.jpg 23.9 KB image/jpeg Download
78242?type=thumb 14.jpg 20.9 KB image/jpeg Download
78243?type=thumb 15.jpg 21.7 KB image/jpeg Download
78244?type=thumb 16.jpg 28.2 KB image/jpeg Download
78245?type=thumb 17.jpg 14.4 KB image/jpeg Download
78246?type=thumb 18.jpg 18 KB image/jpeg Download
Video/Audio Files

131-25417-Branched Covers of Curves by Curves of Fixed Genus-R. Guralnick

H.264 Video 131-25417-Branched_Covers_of_Curves_by_Curves_of_Fixed_Genus-R._Guralnick.mp4 47.3 MB video/mp4 Download
131-25417-Branched_Covers_of_Curves_by_Curves_of_Fixed_Genus-R._Guralnick.rm 17.4 MB application/vnd.rn-realmedia Download
Troubles with video?

Please report video problems to itsupport@slmath.org.

See more of our Streaming videos on our main VMath Videos page.