Home /  Workshop /  Schedules /  Rational connectedness and Galois covers of the projective line

Rational connectedness and Galois covers of the projective line

Constructive Galois Theory October 04, 1999 - October 08, 1999

October 04, 1999 (08:00 AM PDT - 05:00 PM PDT)
Speaker(s): J.-L. Colliot-ThËlËne
Primary Mathematics Subject Classification No Primary AMS MSC
Secondary Mathematics Subject Classification No Secondary AMS MSC
Video

131-25420-Rational connectedness and Galois covers of the projective line-J.-L. Colliot-ThËlËne

Abstract No Abstract Uploaded
Supplements
78281?type=thumb 01.jpg 6.21 KB image/jpeg Download
78282?type=thumb 02.jpg 18.5 KB image/jpeg Download
78283?type=thumb 03.jpg 9.42 KB image/jpeg Download
78284?type=thumb 04.jpg 14.6 KB image/jpeg Download
78285?type=thumb 05.jpg 18.9 KB image/jpeg Download
78286?type=thumb 06.jpg 23.1 KB image/jpeg Download
78287?type=thumb 07.jpg 17.4 KB image/jpeg Download
78288?type=thumb 08.jpg 24.1 KB image/jpeg Download
78289?type=thumb 09.jpg 24 KB image/jpeg Download
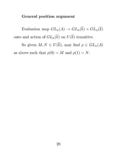
78290?type=thumb 10.jpg 25 KB image/jpeg Download
78291?type=thumb 11.jpg 23.1 KB image/jpeg Download
78292?type=thumb 12.jpg 22.8 KB image/jpeg Download
78293?type=thumb 13.jpg 13.5 KB image/jpeg Download
78294?type=thumb 14.jpg 20.8 KB image/jpeg Download
78295?type=thumb 15.jpg 11.6 KB image/jpeg Download
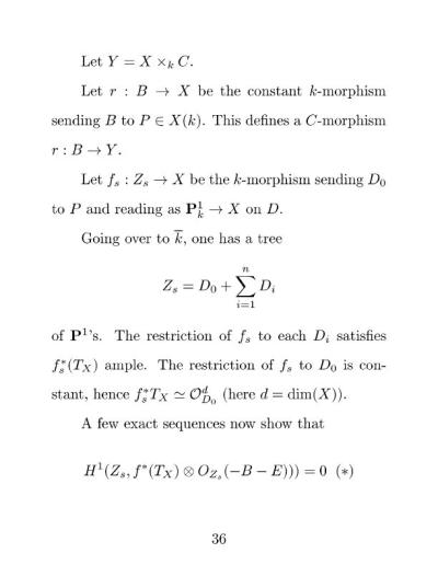
78296?type=thumb 16.jpg 15 KB image/jpeg Download
78297?type=thumb 17.jpg 4.73 KB image/jpeg Download
78298?type=thumb 18.jpg 20.1 KB image/jpeg Download
78299?type=thumb 19.jpg 12.1 KB image/jpeg Download
78300?type=thumb 20.jpg 10.5 KB image/jpeg Download
78301?type=thumb 21.jpg 17.1 KB image/jpeg Download
78302?type=thumb 22.jpg 21.4 KB image/jpeg Download
78303?type=thumb 23.jpg 14.2 KB image/jpeg Download
78304?type=thumb 24.jpg 25.5 KB image/jpeg Download
78305?type=thumb 25.jpg 23.8 KB image/jpeg Download
78306?type=thumb 26.jpg 23.6 KB image/jpeg Download
78307?type=thumb 27.jpg 8.17 KB image/jpeg Download
78308?type=thumb 28.jpg 24.3 KB image/jpeg Download
78309?type=thumb 29.jpg 25.1 KB image/jpeg Download
78310?type=thumb 30.jpg 3.72 KB image/jpeg Download
78311?type=thumb 31.jpg 21.7 KB image/jpeg Download
78312?type=thumb 32.jpg 23.1 KB image/jpeg Download
78313?type=thumb 33.jpg 25.4 KB image/jpeg Download
78314?type=thumb 34.jpg 17.1 KB image/jpeg Download
78315?type=thumb 35.jpg 21.5 KB image/jpeg Download
78316?type=thumb 36.jpg 19.6 KB image/jpeg Download
78317?type=thumb 37.jpg 21.4 KB image/jpeg Download
Video/Audio Files

131-25420-Rational connectedness and Galois covers of the projective line-J.-L. Colliot-ThËlËne

H.264 Video 131-25420-Rational_connectedness_and_Galois_covers_of_the_projective_line-J.-L._Colliot-ThËlËne.mp4 54.8 MB video/mp4 Download
131-25420-Rational_connectedness_and_Galois_covers_of_the_projective_line-J.-L._Colliot-ThËlËne.rm 19.6 MB application/vnd.rn-realmedia Download
Troubles with video?

Please report video problems to itsupport@slmath.org.

See more of our Streaming videos on our main VMath Videos page.